医改专题
赛柏蓝
2025-11-04
1487
2025年即将接近尾声,各地药品集采持续:京津冀联盟一次性覆盖205个品种、江西集采规模空前、第四批中成药集采蓄势待发…
01
205个品种!京津冀化药集采启动
当国家集采的“重磅炸弹”逐渐成为常态,省级和区域性联盟集采扮演起“查漏补缺”与“精耕细作”的关键角色。
河北省医用药品器械集中采购中心近日发布了《关于填报河北牵头京津冀化学药品集中带量采购约定量的通知》。新一轮集采启动,共涉及205个化药(具体药品清单见文末)。

据业内人士透露,此次目录筛选标准为河北上半年销售额超360万元的药品,独家、自费、国谈品种均有涉及。
本次集采在采购主体上构建了“院内+院外”联动。不仅涉及河北省所有公立医疗机构、军队医疗机构,还包括社区卫生服务中心、乡镇卫生院,及其代管或实行统一采购药品的社区卫生服务站、村卫生室等公立基层医疗机构以及门诊保障定点药店。
医保定点社会办医疗机构和药店则按照定点协议管理要求参照执行。目前正处于医疗机构填报阶段(2025年10月28日-2025年11月6日)。
02
2025年最大单省集采发布
覆盖化药和生物制剂
同样,近日江西省医保局发布《关于征求〈江西省药品带量价格联动采购工作方案(征求意见稿)〉意见的公告》,拟开展141个药品带量价格联动采购工作。

此次江西省带量联动,是2025年规模最大的单省药品采购。目前正处于征求意见阶段,截止到2025年11月7日。
江西此次采购品种范围是已在省际或省级联盟集采中中选,且在江西省尚未开展集采,或原有集采协议期满后暂未接续的品种,覆盖141个化药和生物制剂(具体药品清单见文末)。
本次采用“带量价格联动”方式,即依据医药机构的使用需求,联动全国范围内省级集采中选价格,实施带量采购及配套政策。采购周期原则上为一年,可视情况延长一年。
企业确认供货产品同时满足以下条件时,可作为本次江西联动的拟中选产品:
1.同品种未通过质量和疗效一致性评价的价格不高于通过质量和疗效一致性评价、参比制剂的价格。
2.以同品种差比换算至同规格所有拟供应价的平均值为锚点,超过锚点1.8倍的产品,拟供应价须调整至1.8倍(含)以内。
3.同品种同企业同质量层次小规格包装产品的拟供应价不得高于大规格包装产品的拟供应价。
征求意见稿强调,对于未中选(流标)产品,公立医疗机构采购流标品种时应予以报告说明,省联采办将对采购金额排名靠前的予以约谈。
接受不高于同品种差比换算后江西省最高中选价的,获得集采备供身份,可不作为非中选产品监测统计。
03
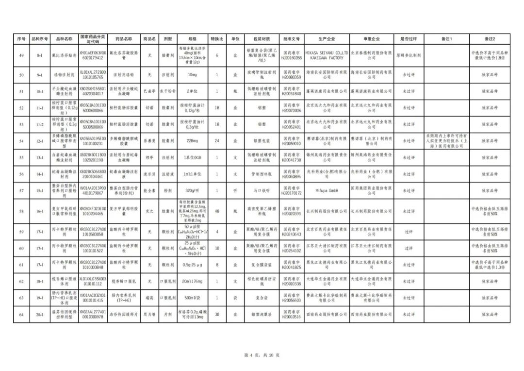
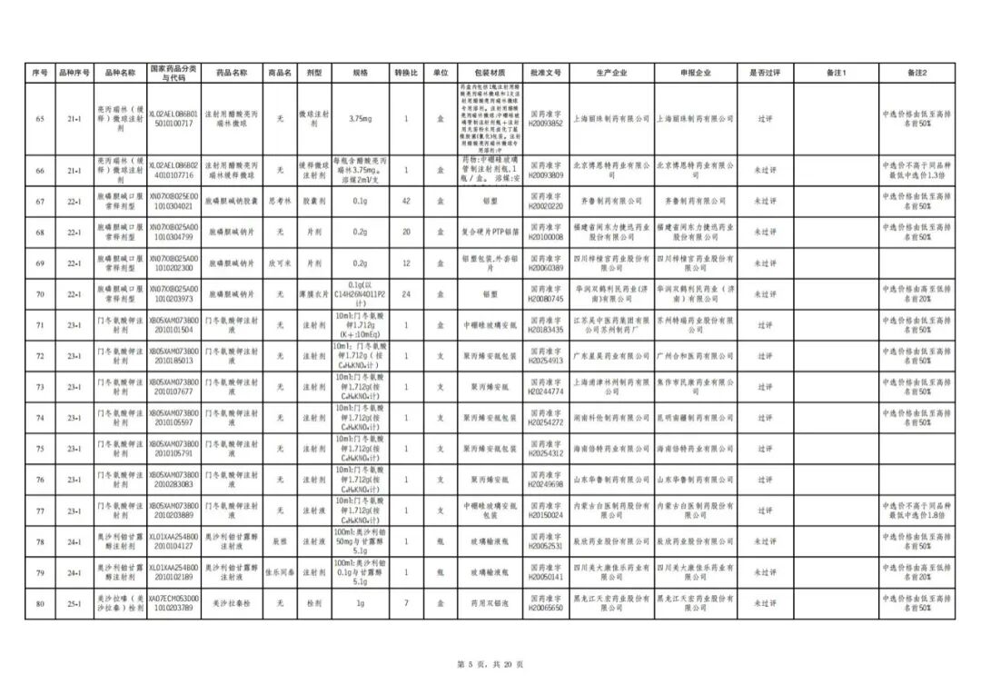
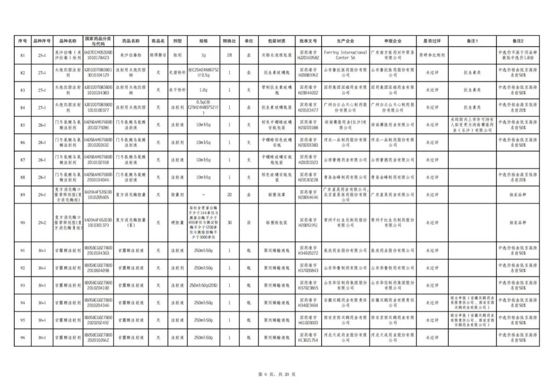
江苏第一二三轮省采接续
324个药品中选
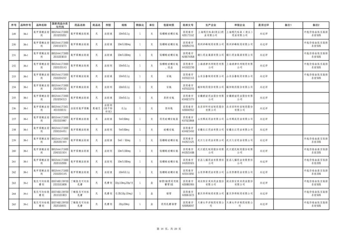
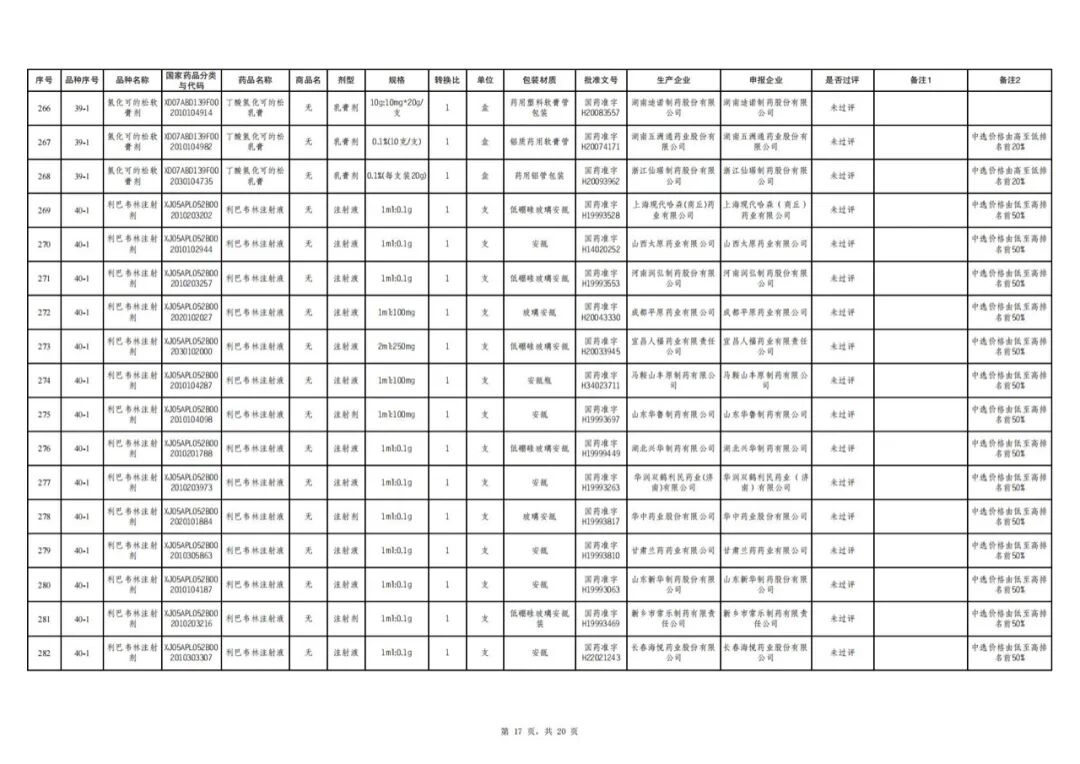
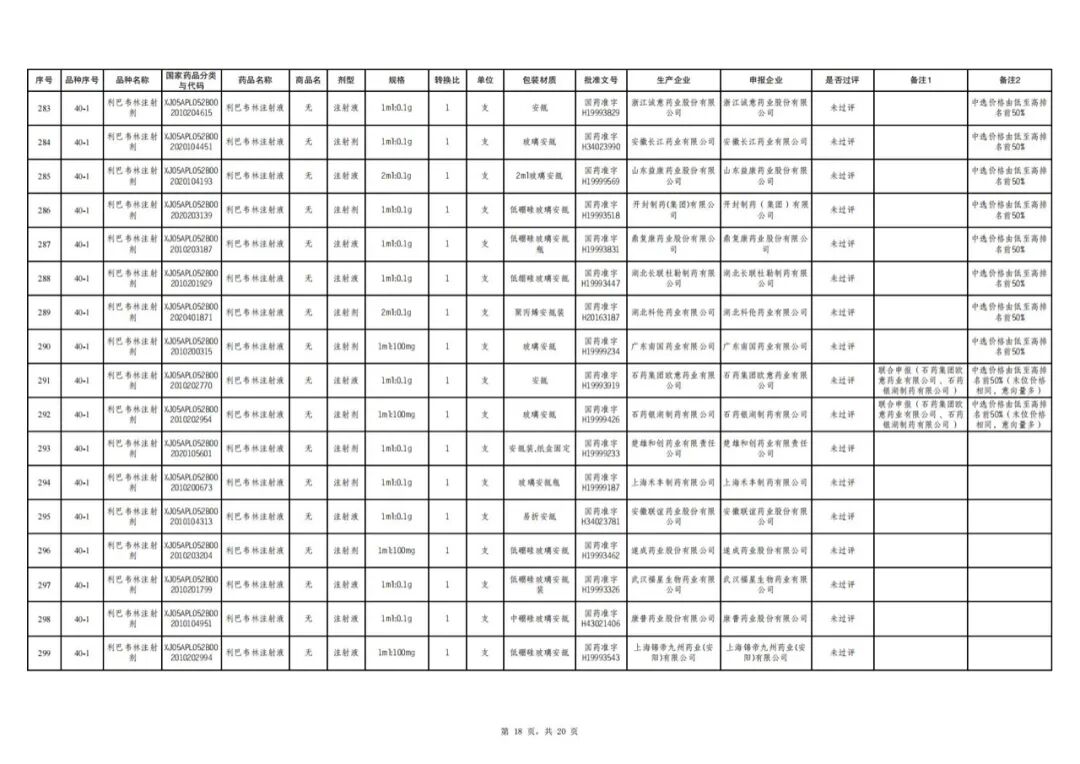
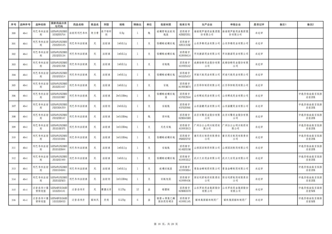
10月27日,江苏省医保局发布《江苏省第一、二、三轮药品集中带量采购协议期满接续采购公告(六)》,正式公布本次接续中选结果,共涉及194家企业324个产品(具体药品清单见文末)。

值得注意的是,有2个产品曾出现在拟中选名单中,最终却意外出局。一个是河北常山生化药业生产的过评品种达肝素钠注射液(0.2ml:5000AXaIU),另一个是河南科伦药业生产的未过评品种氯甲苯酸注射液(5ml:50mg)。
此次独家企业中选的品种数有13个,有海南长安的洛铂注射剂、蓬莱诺康的矛头蝮蛇血凝酶注射剂、北京远大九和药业的桉柠蒎口服常释剂型(0.12g组和0.3g组)、赛诺菲(北京)的多烯磷脂酰胆碱口服常释剂型等。
另外,有8个品种中选企业数超过10家,其中利巴韦林注射剂最多,高达46家企业中选。
04
第四批中成药集采蓄势待发
业内消息称,目前正处于第四批中成药目录遴选的关键时期。征求意见稿可能在11月发布,报价开标预计在2025年年底前,全国落地执行则可能在2026年第二季度。
回溯全国中成药联盟集采的演进轨迹,一条从“探索试水”到“全面铺开”
的路径清晰可见。
湖北牵头三轮中成药集采,品种与参与省份均在扩围。从第一批到第三批,参与省份从19省到30省再到31省,涉及品种从17个产品组76个药品到16个采购组42个药品再到20个产品组95个产品。
国务院办公厅发布《关于提升中药质量促进中医药产业高质量发展的意见》中提到,“优化中药集中采购、招标采购政策,实现优质优价。”预计新一轮会有一定变化。
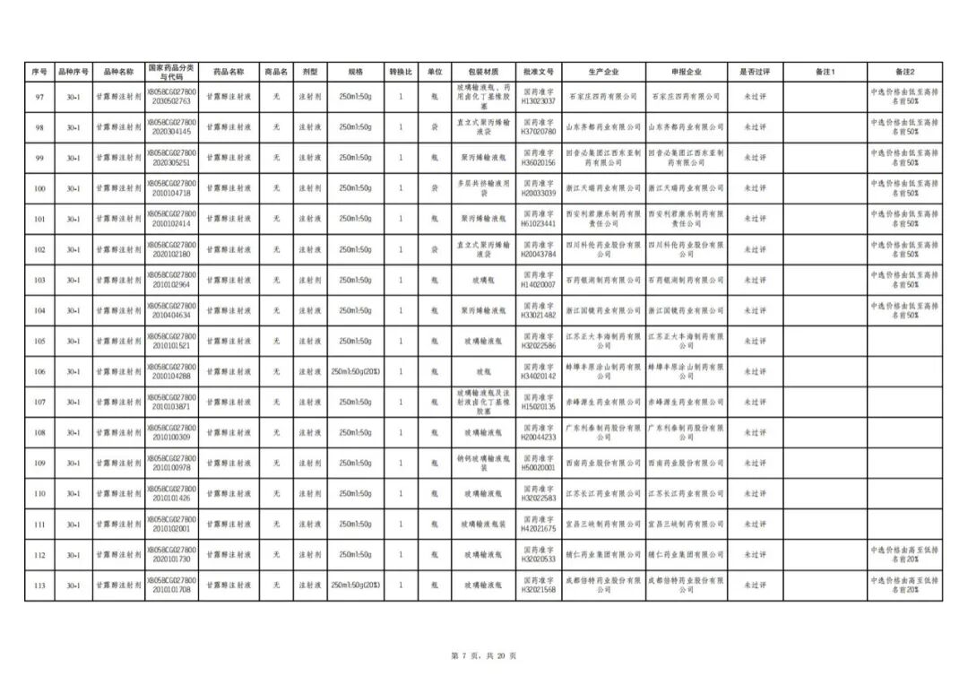
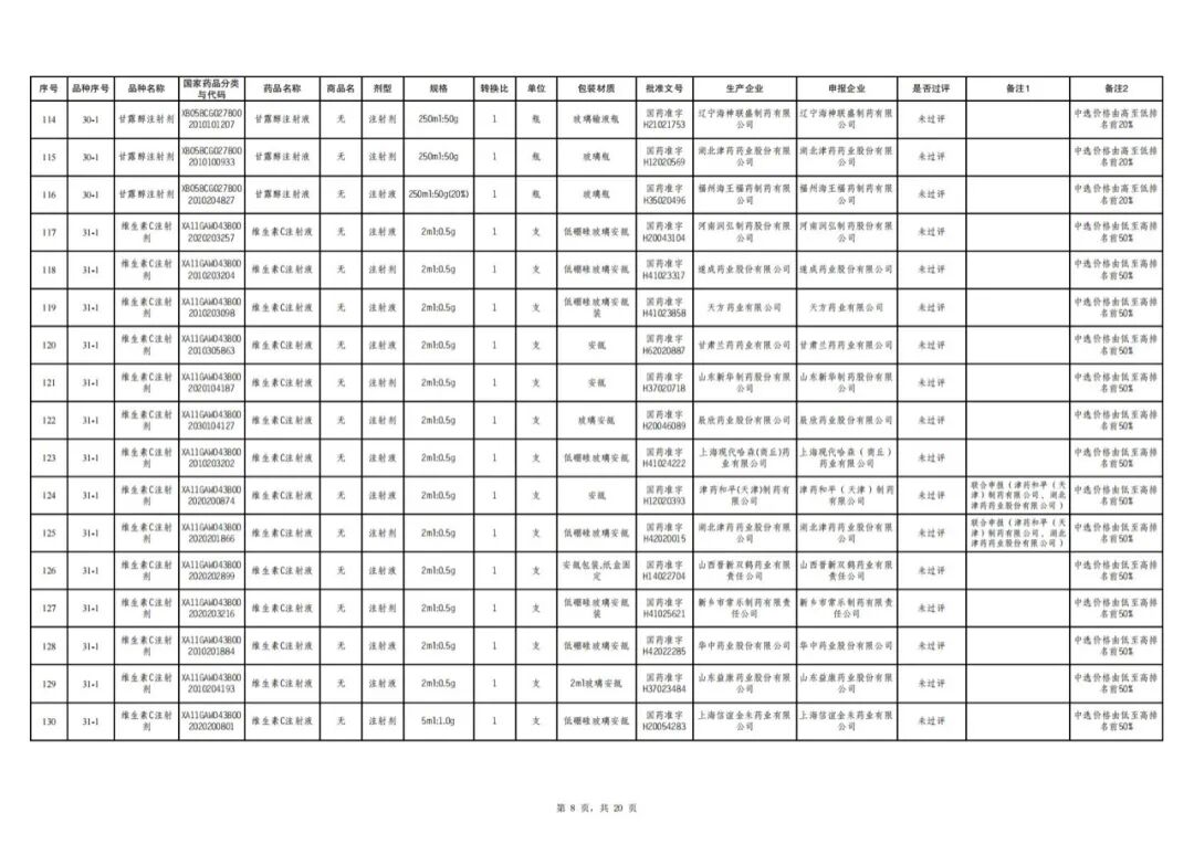
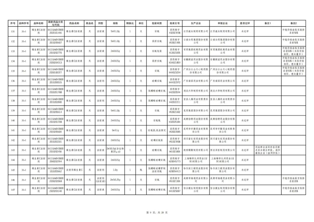
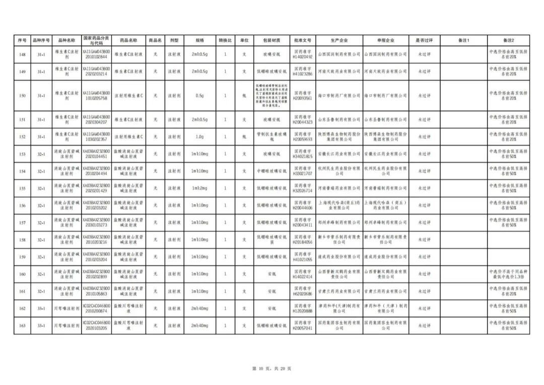
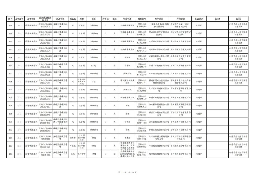
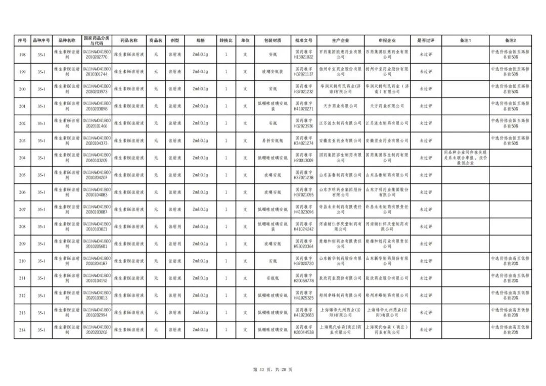
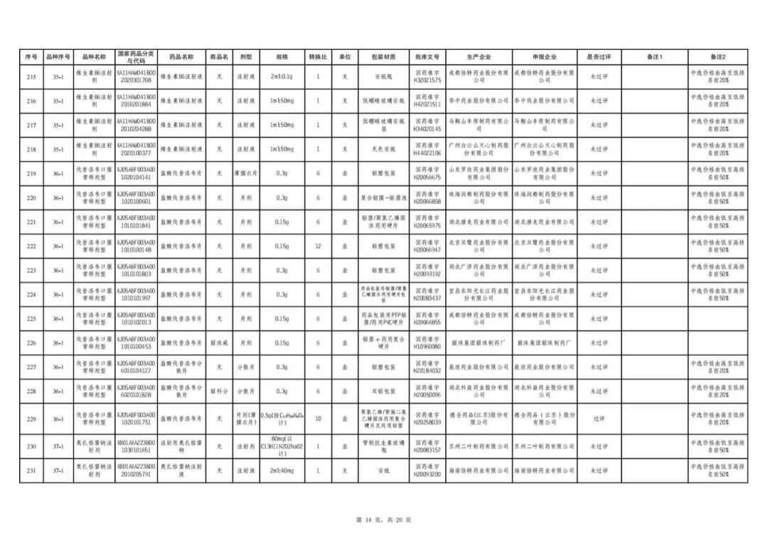
附:2025年河北牵头京津冀化学药品集中带量采购目录

江西省药品带量价格联动目录

江苏省第一、二、三轮药品接续采购拟中选结果




















医改专题
健识局
2026-05-07
78
医改专题
医药早知道
2026-04-30
267
医改专题
村夫日记LatitudeHealth
2026-04-30
418
热门资讯