EN
产业资讯 政策法规 研发追踪 医改专题
CNS药物开拓者,Sage Therapeutics布局
产业资讯 药融圈 2022-09-30 4756

产后抑郁症是与分娩生产相关的一种独特的严重抑郁疾病,它通常在一部分孕晚期妇女或者在分娩四周内出现。产后抑郁症可能给妇女和她的家庭带来灾难性的后果,包括严重功能缺失,情绪压抑和/或失去对新生儿的兴趣。其它与抑郁相关的症状包括丧失食欲、无法入睡、无法集中注意力和自卑等症状。

2019年3月19日,全球首款产后抑郁药Zulresso®在美国问世,到如今已逾三个年头,但其经济效益未达到如期效果,导致该药物研发者Sage therapeutics近几年营收情况也远不及预期。该公司曾在2020年4月8日宣布重组,其中包括裁员340人,占当时公司员工总数的53%。

来自美国的Sage Therapeutics,Inc.(股票代码:SAGE)是一家生物制药公司,致力于开发和商业化新药物来治疗危及生命的、罕见的中枢神经系统紊乱的治疗方法,它目前针对大脑的疾病和紊乱有三个重点领域:抑郁症、神经病学和神经精神病学。该公司由史蒂文·马克·保罗和道格拉斯·柯维共同创立,总部设在马萨诸塞州剑桥,2011年9月13日公司由原来的Sterogen Biopharma正式更名为Sage Therapeutics,Inc.。Sage于2014年7月18上市纳斯达克(2022年9月23日每股$38.5,总市值$22.74亿)。

Barry E.Greene是Sage公司现任CEO,于2020年10月加入Sage公司董事会,同年12月任职CEO,他拥有30几年的生物制药行业工作经验。2001年以前,Barry在保健咨询公司Mediconsult.com担任过执行副总裁兼首席商务官,也在AstraZeneca担任过多个领导职位,还是安徒生咨询公司的合伙人,负责制药/生物技术营销和销售业务。2001年,他在Millennium Pharmaceuticals公司任肿瘤部总经理,领导该公司肿瘤学业务的全球战略和执行,包括战略业务指导和执行,并在2003年成功助力一项FDA批准推出VELCADE®(Bortezomib)。2003年,Barry任职Alnylam的首席运营官,2007年担任该公司总裁,他在Alnylam制药公司的工作时间长达17年。他是美国药物研究和制造商协会(PhRMA)的董事会成员,拥有匹兹堡大学的工业工程学士学位,也是杜克大学福库商学院的高级学者。

合作伙伴关系

2018年6月,Sage和Shionogi达成战略合作,在日本、中国台湾和韩国开发并商业化治疗严重抑郁障碍(MDD)和其他适应症的zuranolone(SAGE-217)。合作的目标是加快为关键亚洲市场的患者开发一种潜在的药物。Shionogi在日本完成了治疗MDD的Zuranolone(SAGE-217)的2期临床试验。根据合作条款,Shionogi负责Zuranolone(SAGE-217)在日本、中国台湾和韩国的所有临床开发、监管申报和商业化。

2020年11月27日,Biogen正式宣布与Sage达成一笔高达31.25亿美元的交易,包括支付8.75亿美元首付款、6.50亿美元股权投资款以及需在未来支付16亿美元的潜在里程金,进而获得Zuranolone在全球的独家合作开发权(不包括日本、韩国和中国台湾)。协议达成如下:Bioge和Sage共同负责Zuranolone在美国地区的开发,按1:1比例共担成本共享利润;而Biogen则独立负责美国以外的市场开发和商业化。

Sage公司业务领域

Sage拥有三大领域专营权:抑郁症、神经科学、神经精神科。

0抑郁症专营权

Sage在该领域的研究和开发工作集中在GABA和NMDA受体的调制上,这两个关键的神经递质系统负责大脑和中枢神经系统复杂回路中的信息流。GABA和NMDA系统对中枢神经系统功能的调节都有重要作用,这两个系统的功能障碍被认为是许多精神障碍的核心。Sage正在使用其独特的开发方法来评估治疗产后抑郁(PPD)和严重抑郁障碍(MDD)的研究候选药物。其具有代表性的产品zuranolone是一种研究中的口服神经活性类固醇(NAS)GABA-A受体阳性变构调节剂(PAM)。

▲ZURANOLONE的临床开发计划

02 神经科学专营权

Sage正在为某些神经科学疾病探索新的疾病途径,将重点放在有高度需求的疾病上,这些领域目前尚未有足够多的治疗选择,例如痴呆症/认知功能障碍、癫痫、特发性震颤、帕金森氏病。

痴呆症,包括阿尔茨海默病和广泛的其他形式,影响着全世界超过3600万人。这种神经退行性疾病的特征是认知功能下降。有证据表明,增强大脑中兴奋性NMDA途径可以治疗几种类型的痴呆症。研究人员发现,许多痴呆症患者的抗NMDA抗体水平都有所上升。

癫痫是一组以反复发作(脑电活动突然激增)为特征的神经系统疾病。尽管已经批准了超过25种治疗癫痫的方法,但仍有约30%的患者患有难治性(难治性)癫痫发作。大脑中抑制和兴奋通路的不平衡导致了癫痫发作的频率和持续时间。Sage正在探索增强GABA或NMDA信号如何潜在地帮助这些患者。

特发性震颤是最常见的运动障碍,其患病率是帕金森氏症的8倍。这是一种进行性疾病,通常具有遗传性,会导致手、头、声音或腿的节律性颤抖。研究人员认为,这可能是由大脑中向肌肉发出异常信号的电波动引起的。震颤通常会随着压力、疲劳和兴奋剂的使用而加剧,特发性震颤与GABA受体活性降低有关。

帕金森氏症是一种慢性进行性运动障碍,在美国大约有70万人受到影响。在这种疾病中,大脑中的神经细胞慢慢停止产生多巴胺,多巴胺是负责协调运动的神经递质。随着帕金森氏症的发展,大脑中产生的多巴胺减少,导致患者更不能指导他们的运动。帕金森氏症可能会导致震颤、僵硬、运动缓慢和平衡障碍,以及情绪变化和睡眠困难。目前治疗帕金森氏症的方法集中在多巴胺替代疗法上,最初在缓解症状方面有效,但随着时间的推移就会失去效果。GABA受体可能是治疗帕金森病的一个可能的治疗靶点,GABA信号有助于调节产生多巴胺的神经细胞。研究人员还发现,帕金森氏症患者体内的别孕酮水平降低,这是一种自然产生的GABA调节剂。

03 神经精神科专营权

SAGE正在研究大脑和中枢神经系统(CNS)紊乱的潜在原因,其神经精神病学研究化合物SAGE-718以独特的方式来调节大脑中的某些受体,这些受体在大脑处理信息的方式中起着关键作用。Sage正在探索SAGE-718在亨廷顿病、阿尔茨海默病和帕金森病等神经退行性疾病中的作用,旨在评估SAGE-718是否有可能改善这些难以治疗的疾病的认知/行为症状。疾病类别包括亨廷顿病、帕金森氏病、阿尔茨海默病、亨廷顿病。

亨廷顿氏病是一种罕见的遗传性神经退行性疾病。在美国,每年有多达3万名成年人被诊断出患有亨廷顿氏症,患者年龄通常在30-45岁之间,在确诊后的15-20年内恶化,最终导致死亡。

帕金森氏症被认为是一种影响体内多个系统的疾病,美国每年约有6万名成年人被诊断出患有帕金森氏症,大约19-38%的帕金森氏症患者也有轻度认知障碍(MCI)。数据表明,大脑中一种名为NMDA受体的特定受体的变化可能是帕金森氏症认知障碍的原因之一。

阿尔茨海默病是导致痴呆症的最常见原因,2020年约有580万美国人(65岁及以上)患有阿尔茨海默病。阿尔茨海默病患者的认知功能下降,包括记忆障碍、语言能力变化和执行功能障碍。临床前证据表明,大脑中NMDA受体的正向调制可能会治疗几种类型的痴呆,包括阿尔茨海默病引起的痴呆。

▲SAGE-718的临床开发计划

首个治疗PPD获批药物——Zulresso®

当地时间2019年3月19日,美国FDA批准Sage Therapeutics研发的Zulresso®(brexanolone:译名布瑞诺龙)静脉注射剂上市,Zulresso®是首个用于治疗产后抑郁症的获批药物,用于治疗成年女性中度和重度产后抑郁症。

抑郁症

治疗抑郁症的药物始于20世纪50年代,当时抗结核药异烟肼被发现能使患者情绪改善。这个发现带来了单胺氧化酶抑制剂异烟酰异丙肼的发现和开发。1959年,丙咪嗪(被批准用于治疗抑郁症,三环类抗抑郁药应运而生。单胺氧化酶抑制剂和三环类抗抑郁药都是治疗抑郁症的有效药物。但它们的选择性不强,与大脑中的许多中枢神经系统靶点相互作用。因此,它们是具有显著毒性的“脏药”。这些毒副作用导致大多数抑郁症患者不能完成整个疗程,因此,这些老抗抑郁药的使用有限。

1988年礼来公司的氟西汀(百忧解)作为SSRI的出现彻底改变了抑郁症的治疗。百忧解是一种高度选择性的药物,因此它是“干净药物”,比老抗抑郁药副作用少得多。大部分患者都可以完成全部疗程。许多“me-too”的SSRIs紧随其后,主要有GSK的帕罗西汀(1992)和辉瑞的舍曲林(1997)。

如前所述,抑郁症的病因非常复杂。因此,许多药物都不止一种作用机制。例如,惠氏的文拉法辛(1993)是去甲肾上腺素-5-羟色胺再摄取抑制剂的组合。GSK的安非他酮(1985)是去甲肾上腺素和多巴胺的联合抑制剂。最后,丹麦灵北制药的伏硫西汀(2013)是一种5-HT3A和5-HT1A受体与5-羟色胺转运体联合抑制剂。

氯胺酮是一种滥用药物,也是臭名昭著的“迷奸药”。然而,氯胺酮的(S)-对映异构体被证明其治疗抑郁症快速而有效。2019年,FDA批准杨森的esketamine(Spravato)作为一种快速起效的鼻腔喷雾剂用于治疗难治性抑郁症。Esketamine是谷氨酸和gamma-氨基丁酸(GABA)神经递质系统的调节剂。与大多数现有的抗抑郁药不同的是,esketamine是基于非单胺策略的大脑兴奋剂。与esketamine一样,布沙诺酮也是一种非单胺抗抑郁药。

上述所有药物都可以用来治疗产后抑郁症。但是,它们都需要两到六周才能看到情绪改善。这个起效速度太慢了,因为产后抑郁症在产后的第一个月最严重。

产后抑郁症

对于产后抑郁症,症状发作的时间与类固醇激素水平急剧下降的时间线相吻合。这些类固醇激素有雌激素、孕激素和四氢孕酮。四氢孕酮是一种内源的抑制性孕烷神经活性类固醇,它的水平在怀孕期间上升,在孕晚期达到高峰,然后在分娩后急剧下降。分娩后四氢孕酮水平急剧下降与产后情绪紊乱有关。四氢孕酮本身具有抗焦虑和抗抑郁作用。主要的抑郁类的情绪紊乱都有四氢孕酮水平的降低,而抗抑郁药物治疗已被证明能增加四氢孕酮水平。

关于Zulresso®

Sage Therapeutics的布瑞诺龙是一种神经活性类固醇,是GABAA受体正向变构调节剂(positive allosteric modulator,PAM)。它被定义为变构调节剂,因为它结合的位点不是在GABAA受体的高度守恒的的内源性配体结合(正构)位点上。

GABA是中枢神经系统中主要的抑制性神经递质。GABA的快速抑制作用主要由GABAA受体介导,该受体被广泛认为是有效的临床药物靶点。事实上,乙醇、苯二氮卓类、巴比妥类和全身麻醉药都是GABAA受体调节剂。神经活性类固醇和巴比妥类药物一样,都是GABAA受体的β-亚基的高亲和力调节剂。

布瑞诺龙是一种人工合成的四氢孕酮类似物,可以增强表达了重组GABAA受体的哺乳动物细胞中由GABA介导的电流。在10–45岁妇女的产后抑郁症的治疗的临床试验中,60小时连续静脉输注布瑞诺龙的疗效比安慰剂更有效。情绪可以在输液后立即改善。布瑞诺龙提供了一种快速起效的抗抑郁药来治疗产后抑郁症,这是一种尚未被满足的医疗需求。

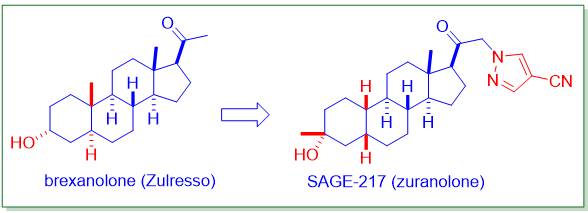
但布瑞诺龙远非完美,其给药方式是连续静脉输注60小时以上。在布瑞诺龙输注的两天半时间里,必须有医护人员在现场持续监测患者。此外,每一个疗程,单是药物的费用便达3.4万美元。如果病人没有医疗保险,这个药物费用对于很多家庭来说是难以承担的。

Sage Therapeutics以布瑞诺龙为起点,开发了另一种口服四氢孕酮类似物SAGE-217(zuranolone,译名舒拉诺龙)。从口服生物利用度极低的布瑞诺龙转化为口服的舒拉诺龙的过程,为我们在药物设计上提供了宝贵的经验。在临床试验中,舒拉诺龙对男女抑郁症患者都有效。渤健于2020年11月以高达15.25亿美元的价格购买了舒拉诺龙的权利。

Zulresso®的成功获批主要基于两项双盲、随机、安慰剂对照III期临床试验,研究1针对重度产后抑郁症(PPD)患者(NCT02942004),研究2针对中度PPD患者(NCT02942017)。在这两项研究中,患者接受60小时Zulresso®或者安慰剂持续静脉注射后者,然后进行4周随访。两项研究中分别设立90mcg/kg剂量组和安慰剂组,而在研究1中增设60mcg/kg剂量组。以60小时汉密尔顿抑郁量表(HAMD)评分相对基线的变化作为主要治疗终点,结果显示,两项研究中90mcg/kg剂量组效果均优于安慰剂组,研究1中60mcg/kg剂量组效果也优于安慰剂组。与安慰剂相比,Zulresso®起效快,能够有效缓解中度和重度PPD患者症状。

Zulresso®带有黑框警告:过度镇静和意识丧失,患者只能在医护人员密切监测下参与Zulresso®治疗。最常见的不良反应为口干、嗜睡、面红。

据Sage官网介绍,每瓶Zulresso®零售价格7450美元,每个疗程(2.5天)相当于34000美元,折合人民币23万多。其作用机制:γ-氨基丁酸A受体正变构调节剂。

然而市场反应并不如预期,2020年Zulresso®销售额只有670万美金,2021年下滑至630万美金。这一数字,只达到分析师预期数的24%。

财务表现

01 2021年财报

2022年2月24日,Sage发布2021年财报,公告显示公司2021财年营业收入为630.80万美元,同比下跌99.43%。归属于母公司普通股股东净利润为-4.58亿美元,同比下降175.55%;

02 2022财年季度报&中报

2022年5月3日Sage公布2022年一季报,报告显示一季度营业收入为150.1万美元;归属于母公司普通股股东净利润为-1.26亿美元

2022年8月2日Sage公布2022财年中报,公告显示公司营业收入为308.20万美元,同比下跌4.46%;归属于母公司普通股股东净利润为-2.48亿美元,同比下降22.32%;

03 财务预计

Sage预计:到2022年底,公司现金、现金等价物和有价证券合计约为13亿美元;2022年公司不会收到来自协作的任何里程碑式付款;随着对SAGE-718和SAGE-324的计划和正在进行的研究的推进,以及为可能会推出的zuranolone做准备,研发和SG&A支出将会增加。

产品管线

▲Sage Therapeutics的在研产品线(截至2022年6月30日)

参考来源:

NMPA/CDE;

药融云数据,www.pharnexcloud.com;

FDA/EMA/PMDA;

相关公司公开披露;

https://www.sagerx.com

https://www.sec.gov/Archives/edgar/data/1597553/000156459022027331/sage-10q_20220630.htm

https://www.sec.gov/Archives/edgar/data/1597553/000156459022006495/sage-10k_20211231.htm

Walton, N.; Maguire, J. Allopregnanolone-based treatments forpostpartum depression: Why/how do they work? Neurobiology of Stress2019, 11, 100198.

SamanthaMeltzer-Brody, etc. Brexanolone injection in post-partum depression:two multicentre, double-blind, randomised, placebo-controlled, phase3 trials [J]. Lancet, 2018,http://dx.doi.org/10.1016/S0140-6736(18)31551-4.

您可能感兴趣
波士顿科学,大赚355亿
波士顿科学,大赚355亿
产业资讯 赛柏蓝器械 2026-04-27 109
IL-2新药biotech,融资3.25亿美元
IL-2新药biotech,融资3.25亿美元
产业资讯 药融圈 2026-04-27 104
AbbVie决定在这投资14亿美元,并融合AI
AbbVie决定在这投资14亿美元,并融合AI
产业资讯 药融圈 2026-04-27 103