EN
产业资讯 政策法规 研发追踪 医改专题
9500万国人患抑郁症背后,百亿抗抑郁药物市场面临洗牌
产业资讯 同写意 2022-11-09 6369

抑郁症是一种常见的心理疾病,以连续且长期的心情低落为主要的临床特征,严重者会出现幻觉、妄想、甚至出现自残自杀倾向。

世卫组织近日发布的一则报告显示,全世界有超过3.5亿抑郁症患者。新冠疫情更是让全球抑郁症发病率大幅度增加25%,其中隔离在家的居民,就有接近1/3的人,会出现不同程度的抑郁、焦虑、失眠以及急性应激反应,有超过10%的人,在疫情发生之后都未能完全恢复正常。

不断增加的患者需求推动了抗抑郁药物的研发生产、更新迭代。与此同时,随着越来越多国内企业布局,国内抗抑郁药物市场格局也正在发生变化。

1 超百亿抗抑郁药物市场

根据《2022年中国抑郁症蓝皮书》,中国有高达9500万抑郁症患者,平均每14个人中就有一人患有抑郁症,每年约有28万人自杀,其中40%患有抑郁症。

然而,由于人们对抑郁症的认知率不足,误解和偏见使患者不愿到精神科就诊。有调查显示,在中国,仅有2%的抑郁症患者接受过治疗,大量的病人得不到及时的诊治,病情恶化,甚至出现自杀的严重后果。

为解决这个问题,国家多次出台相关政策。2020年9月,国家卫健委在《探索抑郁症防治特色服务工作方案》中,要求2022年试点地区对抑郁症防治知识知晓率达80%,抑郁症就诊率提升50%、治疗率提高30%,非精神专科医院医师对抑郁症识别率提升50%等。

随着国家和社会对心理问题重视程度提高,人们对抑郁症的认知越来越深,对抗抑郁药的了解也逐渐增强,与之对应的我国抗抑郁药市场规模也不断扩大。

根据华经产业研究数据,2020年我国抗抑郁药物的市场规模为109.4亿元,增长率为16.01%。同时,根据弗若斯特沙利文预计,2018-2022年,该市场规模将保持12.7%的年复合增长率持续增长,于2022年达到184.1亿元。

目前,国内市场上,抗抑郁药物已达30余种。主要分为单胺氧化酶抑制剂(MAOI)、三环类抗抑郁药(TCA)、五羟色胺再摄取抑制剂(SSRI)、五羟色胺和去甲肾上腺素再摄取抑制剂(SNRI)、NE特异性5-HT抗抑郁药(NaSSA)、5-HT受体拮抗和再摄取抑制剂(SARIs)等。

其中SSRI和SNRI几乎占据了全部抗抑郁药市场。

SSRI的作用机制主要是特异性地作用于5-HT转运体,抑制5-HT的重摄取,进而升高突触间隙中5-HT 的含量,提高5-HT的功能。SSRI具有抗抑郁谱广、适用性强、生物利用度高等特点尤其是在用药安全性方面取得了巨大的进步,患者不慎用药过量,也不会引起严重的后果,特别是对有服药自杀倾向的抑郁症患者具有特殊的意义,已成为一线抗抑郁药物。

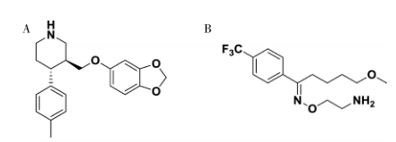
SSRI的代表药物有:帕罗西汀、氟西汀、舍曲林、西酞普兰、氟伏沙明等。

A:帕罗西汀 B:氟伏沙明

SSRI代表药物分子结构式 来源:参考资料[1]

SNRI是以特异性地作用于5-HT和NE的双重作用机理为特征,发挥治疗抑郁行为作用主要是通过改变5-HT和NE两种神经递质的再摄取功能实现。此类药物对各种类型的抑郁症患者均具有较好的治疗效果,并且具有剂量依从性,同时该药物对受体部位亲和力较差的特点,也极大的提高了药物的安全性和耐受性。

SNRI的代表药物有:度洛西汀、文拉法辛、米那普仑等。

A:文拉法辛 B:度洛西汀

SNRI代表药物分子结构式 来源:参考资料[1]

SSRI和SNRI作为前两大抗抑郁药物类别,合计占据了近90%的市场份额,且较为稳定。其中的艾司西酞普兰、舍曲林、文拉法辛三者占到一半的市场规模,成为各家药企争夺的重点。

2 国产替代正当时

长期以来,国内抗抑郁药物市场被辉瑞、丹麦灵北和礼来为代表的国际医药巨头所主导。但随着原研药专利陆续到期,仿制药批量上市,国内药企持续发力,市场格局正在重塑。

此外,自2019年带量采购4+7试点开始,抗抑郁药物被纳入集采品种。截至第七批集采,共有9个抗抑郁药物品种被纳入,27个本土企业中标,均为国产仿制药。

抗抑郁药物集采品种 来源:参考资料[2]

在集采常态化的加持下,部分热门品种加速实现国产替代。其中竞争最激烈的品种包括:艾司西酞普兰、阿戈美拉汀、舍曲林和文拉法辛。

艾司西酞普兰由丹麦灵北制药和美国森林试验室共同开发上市,2002年获FDA批准在美国上市,2006年进入我国市场,是抗抑郁的首选药物之一。目前国内艾司西酞普兰批文超31个,京卫制药、科伦药业等国产仿制药已逐渐超过原研药的市场份额。

阿戈美拉汀是由施维雅公司研发的新型抗抑郁药物,2009年首次在欧盟获批上市,并于2011年在我国上市。2014年,豪森药业生产的阿戈美拉汀首仿药物获批上市,并很快迅速占据国内超90%的市场份额,其于今年8月以补充申请获批过评,成为该产品首家过评企业。

舍曲林由辉瑞研发并于1991年获FDA批准后上市,1998年获批进入我国市场。目前市场格局主要由辉瑞、京新药业、华海药业三家企业瓜分。

文拉法辛由惠氏(后被辉瑞收购)研发,1993年12月获FDA批准,2000年进入我国市场。目前国内文拉法辛批文超43个,其中康弘药业凭借首仿身份、剂型创新推出的独家缓释片以及进入医保乙类拥有较低价格迅速抢占市场,与辉瑞形成两强相争的局面。

在带量采购政策的推动下,抗抑郁药物在价格大幅下降的同时,仿制药、原研药市场地位重新洗牌。随着抗抑郁药物过评数量越来越多,原研药的先发优势不再明显,国产仿制药替代原研药市场地位已是必然。

3 新药能否搅局?

在抗抑郁药物市场内部大换血的同时,来自外部的新型抗抑郁药物正在尝试带来更大的变革。

当前的抗抑郁药物仍存在一定生理或心理上的副作用,极大地限制了它们的临床研究和广泛应用,并且仍然有很大部分患者对现有疗法产生抗性。因此,科学家仍在不断探索新型抗抑郁药。

其中,强生研发的盐酸艾司氯胺酮鼻喷雾剂(esketamine、Spravato),有别于已有抑郁症疗法大多通过作用于血清素信号网络,它通过调节谷氨酸受体功能,帮助修复抑郁症患者大脑细胞的神经连接,成为首个FDA批准的在24小时内显示减轻抑郁症状的药物。该药于2019年3月获FDA批准上市,今年1月在中国递交上市申请并获受理。

AXS-05是美国Axsome公司研发的新型口服N-甲基-D-天冬氨酸(NMDA)受体拮抗剂,其作用机制与目前已有的大多数抑郁症药物不同,它由右美沙芬和安非他酮构成,并且使用了Axsome公司的代谢抑制技术。2021年4月,FDA已受理AXS-05治疗抑郁症的新药上市申请并授予其优先审评资格。

卡利拉嗪(cariprazine)是艾伯维公司研发的每日一次给药的非典型抗精神病药物。药效学研究表明,它可能作为部分激动剂,与多巴胺D3、多巴胺D2和5-羟色胺5-HT1A受体具有高亲和力。今年2月,卡利拉嗪向FDA递交补充新药申请,用于正在接受抗抑郁治疗的重度抑郁症患者的辅助治疗。

国内抗抑郁药物研发方面,目前已有14个药品处于获批临床及以上阶段,涉及天力士、石药集团、恩华药业、广为医药等十余家企业。

其中,研发进展最快的是绿叶制药的盐酸安舒法辛(LY03005)。这是一款5-HT、去甲肾上腺素和多巴胺三重再摄取抑制剂。相比双重再摄取抑制剂,它有助于改善患者的快感缺失现象、认知能力以及性功能。该药的上市申请已于去年获得国家药监局药品审评中心受理。

国内抗抑郁药物研发情况 来源:参考资料[3]

此外,2018年《Nature Genetics》刊发核心论文,该研究通过全基因组关联荟萃分析研究发现,抑郁症一定程度上由基因决定,且鉴别出44种可引发抑郁症的基因变体。这项发现能为研制新的、多样化的抗抑郁疗法铺平道路,未来或将出现更多重磅抗抑郁药物。

结语

任何辉煌的过往都会随时间流逝,只有变化是永恒的。随着我国抑郁症就诊率、治疗率的提升,我国抗抑郁药物市场将不断扩大。国内企业在以仿制药优势抢占国际药企市场份额的同时,加码研发新一代抗抑郁药,未来有望实现全面国产替代。

参考文献:

1.《抑郁症的发病机制及抗抑郁药物的研究进展》,中国医药导报

2. 《疫情三年,新增7000万抑郁患者!百亿抗抑郁药市场增量机会在哪?》,新康界,2022-10-08

3.《坐拥 3.5 亿患者——100亿抗抑郁药物赛道盘点》 E药学苑,2022-10-27

4.《全球约2.8亿患者!杨森、艾伯维、绿叶制药等正在开发,这些抗抑郁症新药能否带来新突破?》,医药观澜,2022-05-23

5.《抗抑郁药物发展及国内市场分析》,药时代,2021-4-22

您可能感兴趣
波士顿科学,大赚355亿
波士顿科学,大赚355亿
产业资讯 赛柏蓝器械 2026-04-27 73
IL-2新药biotech,融资3.25亿美元
IL-2新药biotech,融资3.25亿美元
产业资讯 药融圈 2026-04-27 68
AbbVie决定在这投资14亿美元,并融合AI
AbbVie决定在这投资14亿美元,并融合AI
产业资讯 药融圈 2026-04-27 68