EN
产业资讯 政策法规 研发追踪 医改专题
深度分析 | PD-L1小分子抑制剂专利布局
产业资讯 医药速览 2023-02-09 6825

抗PD1/PD-L1免疫治疗应答机制:PD-L1在肿瘤细胞和抗原呈递细胞(APC)中表达。

重点内容抢先看1.免疫检查点阻断疗法,是一种极具潜力的肿瘤疗法,已在多种类型的肿瘤治疗中表现出显著疗效。

2.PD-1/PD-L1单抗在肿瘤治疗方面取得了巨大的医学和商业上的成功,但它们也有各种缺点。

3.小分子相较抗体存在多种比较优势,如口服给药、低制造成本、更强的肿瘤渗透等。

本文总结了PD-L1小分子抑制剂的研究进展,分类汇总了近3年的专利中披露的PD-L1小分子抑制剂。

前言

阻断免疫检查点,特别是针对PD-1/PD-L1通路的治疗性抗体,近年来在治疗肿瘤方面取得了成功。无论是全球还是国内,PD-1/PD-L1都很受追捧。截止到目前,FDA共批准了7种靶向PD-1或PD-L1的单克隆抗体(mAbs)。然而,与小分子相比,单克隆抗体存在一些缺陷,如渗透性差、制造成本高、免疫原性等问题。由下图可知,靶向PD-L1的药物开发备受追捧,在靶点同质化、治疗性抗体如此严重的今天,若想针对此靶点有所作为。或许,靶向PD-L1小分子抑制剂的开发可以找到破局之路。

数据来源:Insight 数据库;数据说明:抗肿瘤药物统计范围包括研发阶段处于 IND-NDA 的新药项目;中国药企研发管线统计范围包括中国 IND-NDA 所有项目

简介

T细胞的免疫应答通过将T细胞受体(s)(TCR)与靶细胞上的肽-主要组织相容性复合体(MHC)结合,在识别和破坏异常细胞方面发挥着重要作用,从而抑制肿瘤等相关疾病进展。这一过程主要受免疫细胞及其配体上表达的一系列共刺激和共抑制的细胞(也称为免疫检查点分子)受体的调控。利用这一机制,异常的细胞,如肿瘤细胞和病原体感染的细胞,通过进化来干扰这些免疫检查点分子,抑制免疫系统,从而逃逸免疫系统监视。因此,阻断免疫检查点药物的开发已成为一种有前途的肿瘤免疫治疗方法。在所有的免疫检查点中,通常以程序性细胞死亡-1(PD-1)及其配体PD-L1作为治疗靶点。迄今为止,7种抗PD-1/PD-L1单克隆抗体(mAbs,表1)已被FDA批准用于各种肿瘤的治疗。

表1 FDA批准的PD-1/PD-L1免疫抑制剂

PD-1,也被称为CD279,是一种细胞表面受体,通常由活化的B细胞、T细胞、调节性T细胞(Tregs)、树突状细胞(DCs)、自然杀伤细胞(NKs)和驻留在肿瘤微环境中的巨噬细胞表达。作为免疫反应的内在负调节因子,在病毒感染和肿瘤等疾病中抑制抗原特异性T细胞应答中发挥重要作用。PD-L1,也被称为B7 homolog1(B7-H1)或CD274,为PD-1的主要配体。在生理条件下,PD-L1在激活免疫细胞的不同组织中表达,这些组织或细胞包括骨髓(BM)来源的肥大细胞、树突状细胞(DCs)、间充质干细胞(MSCs)、单核细胞、T淋巴细胞和B淋巴细胞以及各种免疫特权器官。然而,PD-L1在肿瘤细胞中也普遍上调,并且在γ干扰素(IFN-γ)诱导后其表达进一步增加。PD-L1的过表达让肿瘤细胞实现了以多种方式“保护自己”。它可以通过与PD-1受体结合,使肿瘤浸润淋巴细胞(TIL)失活,从而导致肿瘤特异性T细胞凋亡的增加。由于PD-L1很少在正常的人体组织中表达,因此它可以作为治疗肿瘤的选择性靶点。

图1.调控PD-1/PD-L1表达的不同途径。PI3K/AKT通路、WNT通路、MAPK通路、NF-κB通路、JAK/STAT通路和Hedgehog(Hh)通路刺激PD-1/PD-L1的表达

干扰PD-1/PD-L1通路的小分子的开发进展落后于抗体。开发阻断PD-1/PD-L1蛋白-蛋白相互作用的小分子抑制剂一直是一项艰巨的任务,因为它的界面大而平,缺乏一个深的结合口袋。BMS的研究人员解决了这个问题,并发布了一项关于PD-L1小分子抑制剂的专利,以及第一个共晶结构(BMS-8)/PD-L1的专利。至此以后,数10项基于PD-L1的专利相继发表。其中5种PD-L1小分子抑制剂已经进入了临床试验,比如来自Incyte公司的药物INCB086550,该公司在2021年9月刚刚进入II期临床试验(表2)。表2总结了2019年至2021年开发和揭示的新的小分子PD-L1抑制剂。

表2 正在进行的PD-L1小分子抑制剂临床试验

PD-L1小分子抑制剂的专利布局

PD-L1抑制剂与药效团模型

自从基于药效团模型构建出第一个共晶结构的小分子PD-L1抑制剂,接踵而来的PD-L1抑制剂已经发表在专利和论文著作中,这些共晶结构包括5J8O,5J89,5NIU,5N2F,5N2D,6RPG,6R3K,7NLD,7BEA,6VQN。如图1所示的BMS-202/PD-L1配合物的晶体结构显示,BMS-202结合在PD-L1二聚体的界面上形成一个圆柱形的疏水口袋。BMS-202的远端联苯母核通过与附近氨基酸的π-烷基相互作用而稳定,并与Tyr56的侧链形成π-堆叠相互作用。甲氧基-吡啶部分的主要相互作用是π-π与BTyr56的堆叠。扩展的N-(2-氨基乙基)乙酰胺基团向溶剂区域延伸,并产生许多静电相互作用。

图1 PD-L1小分子抑制剂的结合模式(PDB:5J89)

通过对数据的综合分析,根据药物的构效关系(SAR),将药效团划分为两类。第一个药效团由一个核心基团、连接体、芳基基团和尾基团组成(图2A)。其核心通常是联苯部分,位于由氨基酸Tyr56、Met115和Ala121组成的疏水口袋中。芳基通常是一个五元或六元的芳香环或融合环,通过一个连接体与核心基团连接。末端尾部面向溶剂区域,可以通过氢键结合与附近的残基形成相互作用。第二个药效团与第一个药效团组成相同,但在核心部分的另一侧有一个额外的连接体,芳基和尾基(图2B)。具有该药效团的化合物通常与PD-L1蛋白具有较高的结合亲和力。这些分子可以是对称的、伪对称的或不对称的,这取决于所使用的连接剂、芳基和尾基。

图2 PD-L1小分子抑制剂的药效团

带有乙醚连接剂的PD-L1抑制剂

线性醚连接子:南方医科大学的研究人员发表了两项专利,将1,3-二羟基苯基衍生物确定为PD-1/ PD-L1抑制剂(图3)。这些化合物是基于BMS化合物(US 2015/0291549 Al)的衍生物,属于第一类药效团。如结构1所示,在芳基部分引入了一个氯原子,在醚链的对位引入不同的尾基链。化合物1显示了体外抑制PD-1/PD-L1相互作用,通过均相时间分辨荧光结合试验(HTRF)测定的半抑制浓度值为9.1 nM。此外,在HepG2/PD-L1共培养细胞模型中,化合物1能够以浓度依赖性的方式促进HepG2细胞的死亡。化合物1在癌细胞中具有良好的水溶性(17.61 mg/mL)、中等的药代动力学(t1/2 = 20 h,F = 12%)和最小的细胞毒性(半抑制浓度> 5 μM)。此外,化合物1在人源化PD-1-C57BL/6J-Pdcdem1(hPDCD1)/Smoc黑色素瘤小鼠模型中显示有效。

表3 南方医科大学和中国药科大学专利化合物的结构

随后,上海药物研究所(中国科学院)的化学家合成了1,3-二羟基苯基衍生物(图3)。这一系列化合物中使用了不同类型的可溶性基团,例如,为尾基团引入了磺酸和聚醇。是最有效的分子之一,化合物2在体外PD-1/PD-L1结合试验中显示出半抑制浓度为0.88 nM。同时,在剂量为40 mg/kg的药效实验中,化合物2能够显著抑制黑色素瘤模型中的肿瘤生长。在另一项专利中,上海有机化学研究所(中国科学院)披露了106个具有相似结构的化合物。在HTRF结合试验中,当浓度为1 μΜ时,化合物3对PD-1/PD-L1相互作用的抑制率为99.94%。中国药科大学已经申请了49个使用硝基苯作为芳基部分的分子专利。化合物4在体外阻断PD-1/PD-L1相互作用的IC50为2.7 nM,对Lewis肺癌(LLC)细胞没有显现出细胞毒性。此外,化合物4能够单独依赖性地提高干扰素-γ的产生,并抵消PD-1/PD-L1诱导的免疫抑制。阳光湖制药公司的化学家揭示了多个抑制PD-1/PD-L1相互作用的小分子,这也属于第一类药效团,但在核心基团中引入一个具有不同末端螺旋或融合环的脂肪族外醚链(图4)。Cisbio检测中对PD-1/PD-L1相互作用的体外抑制作用显示,最有效的化合物为5,IC50为1.1 nM。中国药科大学还申请了另一项专利,该专利采用了脂肪醚链,该链与联苯核心基相连,在大多数情况下使用不同的伯胺或仲胺作为末端基。据报道,分子6在体外抑制PD-1/PD-L1结合,并在细胞实验中显示有效,IC50值为2.33 nM、EC50为0.21 μM。深圳微芯生物制药公司也公开了一项具有26种生物芳基衍生物的专利,它们可以与PD-L1蛋白结合。主体结构如7所示,脂肪链由烯烃而不是醚连接剂引入到末端苯环。化合物7在HTRF结合试验中显示其半抑制浓度值为1 nM。

图4 阳光湖制药公司、中国药科大学和深圳芯片屏生物制药公司专利化合物

中国药科大学申请了另一项46种PD-L1小分子抑制剂的专利。基本结构如8所示(图5)所示,以苯并-[c]恶二唑核心作为芳基组分。在HTRF结合试验中,8的IC50值为1.8 nM,体外活性最好。Jubilant Biosys Limited的化学家也发表了两项1,3-二羟基苯基衍生物的专利,其母体结构为9和10,都属于第一类药效团,并具有相似的核心结构。结构9以嘧啶为芳基,在10的结构中引入了二氢乙烯或1、2、3、4-四氢萘。同样地,它们的两个尾基团都位于乙醚连接体的对位位置。这两项专利中,9和10在HTRF结合试验中IC50值小于100 nM。

图5 中国药科大学和Jubilant Biosys Limited专利化合物

环化醚连接剂:ChemoCentryx公司申请了三项专利,公开了四个系列的化合物,其母体结构为11、12、13和14。(图6)这些专利中的所有化合物都使用了一个连接在核心和芳基之间的环化醚链。此外,它们有相似的芳基和尾基。母体结构为11的化合物,其中11的IC50值小于100 nM。12有一个额外的线性醚链与核心基团连接,IC50小于5 nM。所有报道的母体结构为13的分子是对称的。14的结构在其核心基团上有一个罕见的取代苯酚基团,分子14的IC50小于100 nM。百时美施贵宝(BMS)的研究人员也报道了具有环化醚链的小分子PD-L1抑制剂,其母体结构为15。化合物15在体外抑制PD-1/PD-L1的IC50值为1 nM。

图6 由ChemoCentryx公司和BMS公司申请专利的化合物

PD-L1抑制剂与烯烃连接剂:Maxinovel Pharma已经申请了几项专利,采用烯烃作为连接剂(图7)。从他们披露的化合物中,18和19在体外PD-1/PD-L1结合试验中显示IC50分别为2.3和2.9 nM。其中一种化合物(MAX-10181)已经进入了I期临床试验,其确切的结构尚未被披露(NCT04122339)。

图7 由Maxinovel Pharma公司申请专利的化合物

PD-L1抑制剂与酰胺连接剂:除了乙醚和烯烃连接剂,酰胺也另一种替代连接剂。酰胺连接子最先由Incyte披露,后来被采用其他几家公司。Incyte继续为PD-L1抑制剂开发PD-L1抑制剂,从2019年开始发布了3项专利,突出了酰胺连接剂的结构。(图8)以20、1-甲基-4、5、6、7-四氢-1H-咪唑[4,5-c]吡啶为芳基,本专利公开的所有化合物均属于第二类药效团。这些化合物的双酚核、酰胺连接体和芳基是对称的,但引入了不同的尾基。带有末端羧酸的桥接环通过左侧的乙基连接体与双酚基连接,而另一侧使用各种取代物。专利US2020/0172533,使用五元杂环作为芳基,在示例21中使用了一个噻唑基团和尾部被l-哌唑啉酸取代。同样,在专利US2020/0283423中,使用六元杂环作为芳基,示例22中使用A1-甲基吡啶-2(1H)一组,并且使用相同的L-哌啶酸作为尾部。在体外PD-1/PD-L1结合试验中,21和22的半抑制浓度均小于100 nM。

图8 由Incyte申请专利的化合物

Abbisko公司的科学家披露了一系列对称的化合物,作为新一代的PD-1/PD-L1拮抗剂,用于治疗癌症、感染性疾病和免疫相关疾病(图9)。在ICR小鼠中测试了几个候选化合物的药代动力学行为。结果表明,其最佳化合物23在HTRF实验中IC50为0.29 nM,在细胞实验中EC50为11 nM。然而,它表现出较差的药代动力学特征,半衰期为2.4 h,AUClast小于500小时*ng/mL。

图9 由Abbisko治疗公司申请专利的化合物

沈阳药科大学的研究人员披露了一项具有39种化合物的专利,这些化合物使用[1,2,4]三唑唑[4,3-a]吡啶支架作为芳基(图10)。活性最好的化合物25在HTRF结合试验中IC50为92.3 nM。分子对接研究表明,化合物25的三唑和吡啶部分均与Asp122形成了π-π相互作用。这表明,芳基的融合环可能是合理设计新型PD-L1小分子拮抗剂的策略。在Hep3B/ OS-8/hPD-L1和CD3 T细胞共培养模型中,25以剂量依赖的方式诱导了干扰素-γ产生的升高。

图10 沈阳药科大学申请专利的化合物

贝达制药公司的化学家们披露了两项以酰胺为连接剂的专利(图11)。其化合物属于第二药效团,大部分具有对称或半对称的结构。对称化合物27在体外阻断PD-1/PD-L1结合时,其IC50值为0.37 nM。对于28的一般结构,连接体仅限于一个环化酰胺,m为0、1、2或3。环A是一个五元和六元杂环。本专利中包含了58个化合物的实例,其中大多数在HTRF结合试验中IC50值小于25 nM。

图11 贝达制药公司申请专利的化合

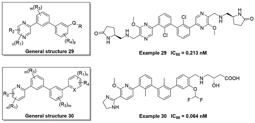
无连接剂的PD-L1抑制剂:吉利德的研究人员披露了两项专利,描述了与核心基团直接相连的分子图12。如29的母体结构所示。已发表的数据显示,该专利中的化合物在阻断PD-1/ PD-L1相互作用方面普遍有效(半抑制浓度< 0.5 nM)。化合物29的IC50为0.213 nM, EC50为119 nM。此外,29还评估了其对CHB患者PBMCs中HBV特异性T细胞活化的影响。结果显示,29在体外增强了CHB患者HBV特异性CD8+和CD4+ T细胞的抗病毒/效应功能,其程度与抗PD-L1单克隆抗体相当。此外,在表达PD-L1的MC38小鼠结直肠肿瘤模型中,29在腹腔注射10(QD)、25(BID)、50(QD)mg/kg,至少2次给药后24小时内,肿瘤的靶占用(TO)大于90%。在专利US10710986中,进一步描述了化合物29的药物组成及其对结直肠癌的治疗作用。

图12 由吉利德申请专利的化合物

贝达制药公司的化学家还披露了两项专利,其中使用苯并[d]恶唑作为直接附着在双苯酚核心上的芳基(图13)。在化合物31的芳基和亲水性部分,Y为O、S、NR9-;R6为H、卤素、CN、C1-8烷基、C1-4卤烷基、磺酰,磺烷基,分子31在PD-1/PD-L1 HTRF结合试验中IC50为1.8 nM。

图13 由贝达制药公司申请专利的化合物

此外,阳光湖制药公司发表的PD-1/PD-L1抑制剂(CN111793077)、Incyte(US20200172541)、ChemoCentryx Inc(WO2020257549和US2021009)、上海轶诺药业有限公司(WO2021121282)。采用不同的五元、六元芳香环或五元、六元融合杂环作为芳基(图14)。

图14 阳光湖制药公司、Incyte、ChemoCentryx Inc和上海轶诺药业有限公司专利化合物

PD-L1抑制剂与两种不同的连接剂结合:除了上述化合物外,仍有一些PD-L1抑制剂在核心基团的两侧都有两个不同的连接体。这类化合物一般属于第二类药效团,具有不对称的结构。这些化合物可以调节PD-1/PD-L1蛋白-蛋白相互作用,增强对疾病和传染性疾病的免疫力。图15总结了结构37-49。其中,吉利德开发的化合物38和39,体外活性显著,IC50小于0.064 nM。

图15 PD-L1抑制剂与两种不同的连接剂结合

总结与展望

免疫检查点阻断疗法,特别是PD-1/PD-L1单抗,已成为一种新的治疗方式,并在肿瘤治疗方面取得了巨大的成功。到目前为止,该方法已应用于黑色素瘤、皮肤鳞状细胞癌(CSCC)、复发性或晚期子宫内膜癌、非小细胞肺癌、转移性默克尔细胞癌等疾病治疗。然而,尽管在医学和商业上取得了成功,PD-1/PD-L1单抗也有一些局限性。首先,由于扩散和渗透较差,临床疗效仅限于一小部分患者。第二,单克隆抗体的药代动力学特性导致了免疫原性和毒性,由此引发严重的免疫相关不良事件(irAEs)。此外,单克隆抗体的制造成本较高,这将增加患者的经济负担。因此,使用小分子抑制剂来阻断PD-1/PD-L1的相互作用可能是激活先天免疫系统来对抗肿瘤的另一种方法。小分子抑制剂具有几个优势,如口服生物利用度、增加肿瘤渗透、可接近细胞内靶点和较低生产成本,这可能是基于抗体的治疗的优势。小分子抑制剂可作为单一治疗或与包括抗体在内的其他药物联合使用,并可能在免疫治疗中提供重要的补充或潜在的协同效应。自BMS发布首个PD-L1小分子专利以来,世界知识产权组织已经发布了100多项专利。此外,已经开发了不同的生物检测方法来探索PD-L1抑制剂的体外和体内活性,例如,Cisbio的PD-1/PD-L1检测试剂盒和Promega的细胞PD-1/PD-L1试剂盒。此外,化合物10与PD-L1蛋白的小分子共结晶结构已经发表,这为更好地合理设计有效的PD-L1抑制剂奠定了良好基础。

合理发现小分子拮抗剂药物的关键是发现药效团模型。根据已知的PD-L1抑制剂的结构和活性,总结了两种药效团模型。五种化合物已显示出良好的临床前结果,并进入了临床试验。然而,与PD-1/PD-L1抗体的开发相比,PD-L1小分子的开发仍处于起步阶段。这些化合物是否能表现出与抗体一样好的临床疗效尚不清楚。与专利披露的大量小分子相比,已进入临床试验的分子数量相对较少。仅依赖于蛋白质分析(如HTRF)的抑制剂的发现存在一定的局限性。许多化合物确实缺乏在更复杂的细胞环境中对生物活性的明确转化。一些抑制剂与小鼠PD-L1的结合明显弱于与人类PD-L1的结合。换言之,需要分析已鉴定的抑制剂不仅要与人类结合,而且与小鼠PD-L1结合,以便在小鼠模型的临床前研究中尽量减少非特异性和脱靶效应的风险。因此,仍需设计更好的PD-L1小分子抑制剂进行临床研究,研究其安全性和有效性,以加速其批准。

参考资料

丁香园:解锁肿瘤领域潜力靶点-新格局、新机会

Shaabani S, Huizinga HPS, Butera R, Kouchi A, Guzik K, Magiera-Mularz K, Holak TA, Dömling A. A patent review on PD-1/PD-L1 antagonists: small molecules, peptides, and macrocycles (2015-2018). Expert Opin Ther Pat. 2018 Sep;28(9):665-678.

Deng J, Cheng Z, Long J, Dömling A, Tortorella M, Wang Y. Small Molecule Inhibitors of Programmed Cell Death Ligand 1 (PD-L1): A Patent Review (2019-2021). Expert Opin Ther Pat. 2022 May;32(5):575-589.

Alkholifi FK, Alsaffar RM. Dostarlimab an Inhibitor of PD-1/PD-L1: A New Paradigm for the Treatment of Cancer. Medicina (Kaunas). 2022 Nov 1;58(11):1572.

您可能感兴趣
体内CAR-T的泡沫起来了?
体内CAR-T的泡沫起来了?
产业资讯 氨基观察 2026-04-24 16