EN
产业资讯 政策法规 研发追踪 医改专题
286分神刊:2023年十大癌症数据:乳腺癌新发最多,肺癌死亡最多,新冠病毒对新增死亡贡献巨大
产业资讯 生命科学前沿 2023-02-15 6601

癌症一直以来都是世界范围内的一个主要公共卫生问题,近几年新冠病毒的大流行导致了严重的医疗资源挤兑,影响癌症的诊断和治疗,导致肿瘤晚期疾病和死亡率的上升。据统计2020年下半年,哈佛大学麻省总医院的外科肿瘤手术是2019年水平的72%,而在2021年仅为84%。

一般来说,基于人口的癌症发病率和死亡率数据存在2年至3年的滞后,新冠大流行引起的癌症诊断和治疗延误所引起的主要和其他次要后果将随着时间的推移逐渐发生,并需要多年时间在人口水平上进行量化。那么新冠大流行究竟对癌症的发病率和死亡率究竟会不会有影响呢?

2023年1月,世界上发行量最大的肿瘤学期刊《临床医师癌症杂志》(《CA: A Cancer Journal for Clinicians 》,IF=286)发表了来自美国癌症协会的Rebecca L. Siegel团队的最新论文:“Cancer statistics, 2023”,该研究提供了2023年美国及各个州新发癌症病例和癌症死亡病例的估计数量以及最新的基于人群的癌症发病率和死亡率数据的统计数据。

最常见的十大癌症类型

总的来说,美国2023年预计将出现1958,310例新的癌症病例,相当于每天5370例。预计癌症死亡人数609,820人,相当于每天死亡1670人。

对男性而言,前十大患病率最高的肿瘤依次是前列腺癌、肺癌、结直肠癌、膀胱癌、皮肤黑色素瘤、肾癌、非霍金奇淋巴瘤、口腔癌、白血病和胰腺癌,其中前列腺癌占比29%。对女性而言,前十大患病率最高的肿瘤依次是乳腺癌、肺癌、结直肠癌、宫颈癌、皮肤黑色素瘤、非霍金奇淋巴瘤、甲状腺肿瘤、胰腺癌、肾癌、和白血病那个,其中乳腺癌占比31%。肺癌是第一致死癌症,数据显示,每天约有350人死于肺癌,几乎是死于癌症死亡的第二大原因结直肠癌人数的2.5倍。2023年,在127,070例肺癌死亡病例中,约有103,000例癌症将直接由吸烟导致,占比81%,另有3560例癌症由二手烟导致。

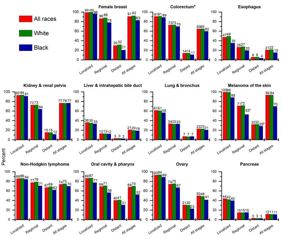
癌症的五年生存率

随着医疗水平的快速发展,癌症的生存率也有了明显的提升,20世纪70年代中期,癌症的5年相对生存率仅为49%,2012年至2018年癌症的5年相对生存率增加到68%。研究人员根据种族和诊断阶段细化了各种癌症的5年相对生存率,可以看到除了胰腺癌和肾癌在黑人和白人中具有相似的生存率外,其余每种癌症类型中黑人的5年生存率都低于白人。从绝对意义上讲,黑人和白人之间生存差异最大的癌症依次是黑色素瘤(24%)、宫颈癌(20%)、口腔和咽部癌(18%)、膀胱癌(13%)。

总的来看,目前生存率最高的癌症类型依次是甲状腺癌(98%)、前列腺癌(97%)、睾丸癌(95%)和黑色素瘤癌(94%),最低的是胰腺癌(12%)、肝癌和食道癌(21%)。

癌症死亡率的趋势

一般而言,死亡率是比发病率或存活率更好的抗癌进展指标,因为死亡率较少受到检测实践变化带来的偏差的影响。在20世纪的大部分时间里,癌症死亡率上升,主要原因是烟草流行导致男性肺癌死亡人数迅速增加。然而,吸烟的减少以及某些癌症的早期发现和治疗的改善,导致癌症死亡率自1991年达到每10万人215.1人的峰值后持续下降。

到2020年,肺癌死亡率下降到33%即每10万人143.8人,这意味着与死亡率峰值时相比,肺癌死亡人数估计减少3820800人,其中男性2582800人,女性1238000人。总体而言,男性肺癌死亡率从1990年至2020年下降了58%,女性从2002年至2020年下降了36%。引起男性和女性癌症死亡的第二大常见原因结直肠癌的死亡率近些年也持续下降,自1980年以来,男性结直肠癌的死亡率下降了55%,自1969年以来,女性结直肠癌死亡率下降了61%。

2020年癌症死亡人数统计

2020年,美国共记录了3,383,729例死亡,比2019年增加了528,891例死亡, COVID - 19感染是引起死亡增长的三分之二的根本原因。2020年,癌症占所有死亡人数的18%,仍然是仅次于心脏病的第二大死亡原因。乳腺癌是40-79岁女性和60-79岁男性死亡的主要原因,大脑和其他神经系统肿瘤是20岁以下儿童和青少年癌症死亡的主要原因。在20-39岁的男性中,结直肠癌已超过脑瘤,是20-49岁男性癌症死亡的主要原因,而在该年龄组的女性中,乳腺癌则是主要死亡原因。尽管宫颈癌是最可预防的癌症之一,但它始终是20至39岁妇女癌症死亡的第二大原因。肺癌是50岁及以上男性和女性癌症死亡的主要原因,造成的死亡人数远远超过乳腺癌、前列腺癌和结直肠癌的总和。

总结

自1991年以来,美国癌症死亡率持续下降,总体下降了33%,避免了约380万癌症死亡。这种稳定的进步是因为吸烟人数的减少,乳腺癌、结直肠癌和前列腺癌的早期筛查的普及以及治疗方法的改进。尽管2019全球爆发了新冠疫情,但是根据统计数据,美国2019-2020年的癌症死亡率继续下降,但是需要注意的是,新冠病毒大流行对死亡率的影响将持续多年,最近的一项研究发现,在2020年至2021年期间,美国的预期寿命继续下降(基于临时数据)。此外,尽管癌症的整体发病率持续降低,但是乳腺癌、前列腺癌和子宫癌发病率的上升仍然值得关注,相关机构仍应增加群众获得医疗护理的机会,广泛应用现有癌症控制干预措施并增加相应投资,加快抗癌进展。

您可能感兴趣
体内CAR-T的泡沫起来了?
体内CAR-T的泡沫起来了?
产业资讯 氨基观察 2026-04-24 12