产业资讯
药研网
2025-06-07
319
2025年中国创新药出海进入快车道。
据药研网不完全统计,刚过去的5月,至少有6家国内药企公开宣布了新的国际合作协议,涵盖ADC、双抗等多个热门管线。这些高额交易直接引发二级市场强烈反应。三生制药在5月20日当天股价飙升了32%,它旗下的三生国健更是连续两天封死涨停板。

2025年5月BD list | 药研网团队整理
在这股BD热潮中,石药集团也玩起了“剧透”的把戏,5月末公司提前透露,手头正谈着三笔潜在交易,其中单笔规模竟然可能高达50亿美元。其中一项已经接近完成,预计于下月正式签约。
受此重大利好消息刺激,石药集团股价盘中飙升近8%,创下了年内新高。同时,其还带动了港股创新药ETF(159567)上涨近1%,盘中触及历史高点。中金公司也随即上调石药集团目标价,并强调“BD进展顺利”将重构估值逻辑。

资料来源:百度股市通
其实,这类跨国医药合作早已不是什么新鲜事。以往的套路,一般都是大药厂手握大量现金,去买下那些药还没上市,但临床数据不错的小企业的研发成果。这几年,更多的卖家变成了中国企业。从“被买方”到“主力供方”,中国药企的全球角色正悄然改变。
License-out激增,中国项目占比近半
据Dealogic数据,2024年以来,全球大型药企引入的创新药项目中,有42%来自中国企业,而五年前这个比例几乎为零。2024年全年,中国创新药License-out项目达94笔,总交易金额达519亿美元,其中55%流向美国,标志着中美创新药合作已成主轴。
中国项目占全球 MNC 引进创新药占比超 40%

中国创新药 License-out 交易数量和金额(亿美元)

资料来源:CNBC,爱建证券研究所
2025年才刚过一半,中国企业的国际交易金额就已达455亿美元,首付款超过20亿美元,再次逼近2024年度纪录。这样看来,今年创纪录的可能性不小。
在今年的J.P.摩根医疗大会上,前FDA局长也指出,超半数提交FDA的临床试验申请来自中国企业。这一趋势不仅意味着“项目出海”,更是全球产业格局重塑的信号。
BD“明星赛道”—ADC
ADC药物已成为中国创新药License-out交易中的“明星赛道”。据相关数据统计,近三年,中国 ADC 在 License-out 项目占比中均超过 15%。
2015-2024年中国创新药 License-out 交易项目类型

资料来源:医药魔方,爱建证券研究所
继DS-8201全球爆红后,MNC(跨国药企)对ADC的合作兴趣持续升温。然而,受限于平台构建与开发难度,全球多数MNC在ADC领域推进缓慢。
相比之下,中国企业在ADC赛道中已具备平台技术、成本控制、迭代速度等优势,形成明显的“比价竞争力”。截至目前,中国ADC在全球管线中的占比约为40%,2022–2023年中国是全球ADC转让方数量最多的国家。
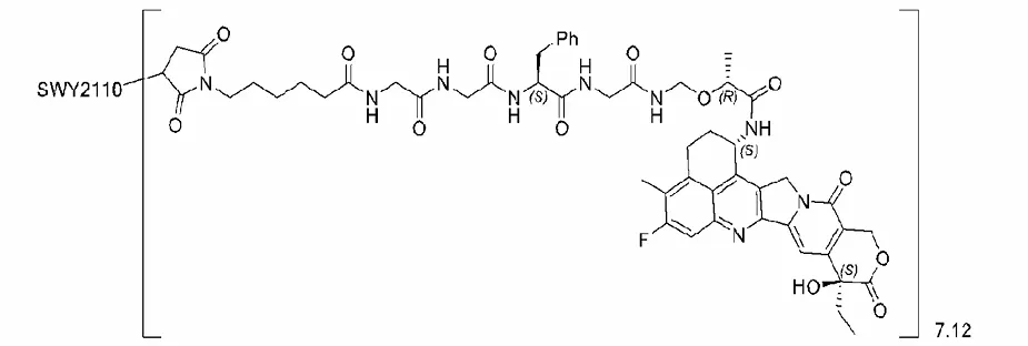
以石药集团为例,其核心ADC产品SYS6010(EGFR-ADC)就是市场普遍看好的“潜在爆单”项目之一。
“潜在爆单”项目—SYS6010
SYS6010是一款新一代靶向EGFR的抗体偶联药物(ADC),由高亲和力EGFR人源化IgG1单抗与拓扑异构酶I抑制剂JS-1毒素通过可切割GGFG四肽连接子偶联构成,DAR值高达8。其最大优势是:毒性窗口优于同类竞品,能够高效杀伤肿瘤细胞,还具有旁观者效应。

这一候选药物已成为石药创新管线中进展最快、最被看好的项目。2025年3月,石药核心ADC产品SYS6010在CDE登记了一项既往EGFR-TKI治疗失败的EGFR突变局部晚期或转移性NSCLC,成为了首个国产冲击肺癌适应症三期注册临床的EGFR
ADC。

图源:中信建投在今年的AACR大会上,石药公布了SYS6010在晚期实体瘤患者中首次人体临床数据。

截至2024年12月26日,共有232名患者接受治疗,其中137例为NSCLC患者(中位治疗线数为3)。数据结果令人瞩目:
在52名接受≥4.8 mg/kg治疗的EGFR突变型非鳞状NSCLC患者中,ORR为50%、DCR为92.3%;
在10位既往EGFR-TKI耐药的EGFR突变NSCLC患者中,ORR为90%、DCR为100%;
在41位既往EGFR-TKI、铂类化疗耐药的EGFR突变NSCLC患者中,ORR为41.5%、DCR为90.2%;
在6位接受≥4.8 mg/kg治疗且免疫治疗、化疗均失败的EGFR野生型非鳞状NSCLC患者中,ORR为50%、DCR为83.3%。

(图源:华创医药)
上述核心临床数据表明,SYS6010在晚期实体瘤患者中表现出可耐受的安全性和积极的疗效,尤其对EGFR-TKI耐药或EGFR野生型的nsq-NSCLC患者疗效显著。
BD“回血”:资本寒冬下的突围之道
在资本市场尚处寒冬之际,License-out交易成为中国Biotech的“救命稻草”。2024年,百利天恒、科伦博泰、和誉医药等公司通过BD合作带来可观收入,成功扭亏为盈。
不仅如此,BD交易还增强了企业议价能力,推动行业洗牌与整合,逼迫企业向差异化与技术壁垒更高的方向转型。
总结
目前,中国药企在ADC、双抗、细胞治疗等前沿领域,已经跻身全球创新第一梯队。在特朗普政策回潮的背景下,跨国药企在成本控制和外包战略上愈发依赖“优质低价”的中国项目,从而进一步加速中国创新药全球化进程。
出海已不是尝试,而是趋势。从“走出去”到“被需要”,中国创新药正逐步站上全球制药舞台的中心。
产业资讯
Medaverse
2026-03-30
116
产业资讯
药研界面
2026-03-30
119
产业资讯
医药魔方Pro
2026-03-30
105