会员动态
凯莱英
2020-05-11
8779
近日,凯莱英医药集团(股票代码:002821.SZ;以下简称“凯莱英”)在美国化学会学术期刊《Org. Process Res. Dev.》上刊发论文(Synthesis, optimization and large-scale preparation of low-dose CNS-penetrant BACE1 inhibitor LY3202626 via a [3+2] nitrone cycloaddition),介绍了阿尔兹海默症候补药物BACE1抑制剂(LY3202626)的工艺优化和大规模生产。该项成果由礼来公司(Eli Lilly and Company)和凯莱英项目工艺开发中心(Asymchem Project Process Development Center)共同研究完成。

据国际阿尔兹海默病联合会统计,目前全球至少有5000万人饱受该疾病痛苦,保守预估到2050年患病人数将增至1.5亿左右。我国的状况亦不容乐观,国内患者已达1000万人,是全球患者人数最多的国家之一。在治疗方面,虽然全球许多药企都针对AD不同致病机理开展了大量探索与试验,但整体失败率超五成,目前全球仅有6款药物上市,足以表明AD药物研发的艰巨性。而处于临床Ⅱ期的LY3202626的治疗机理是低剂量依赖性地降低血浆和脑脊液(CSF)中的Aβ40和Aβ42,相关临床研究进展顺利,或将成为AD药物研发“长征”的新起点。
阿尔兹海默病(Alzheimer’s Disease,AD)俗称“老年痴呆症”。研究表明,AD发病与患者脑组织β淀粉样蛋白(Aβ)水平密切相关,而BACE1(β-分泌酶,又名β-淀粉样前体蛋白裂解酶)被视为Aβ最重要的靶点之一,因此BACE1抑制剂成为备受业界关注的治疗或预防AD疾病的潜在药物。

通过早期先导化合物活性研究,礼来的研究人员发现LY3202626具有高效的BACE1酶抑制活性,因此极具临床治疗AD症的潜在应用价值。第一代合成路线(图1)从多取代的碘苯化合物4开始,经碘锂交换后再对Weinreb酰胺5进行加成,随后通过肟和碳碳双键的[3+2]环加成反应构筑[5,5]并环。胺基对异硫氰酸酯的加成引入硫脲结构,再通过Mitsunobu反应关环得到噻嗪环结构。目标分子中,关键的苯胺结构是通过Cu催化溴苯和叠氮化钠交叉偶联反应实现的,最终该路线能够获得毫克级的目标产品LY3202626。

图1. 第一代合成路线初步获得毫克级产品
然而由于该合成路线需使用剧毒叠氮化物,需经过丁基锂低温反应和Mitsunobu反应,且合成步骤长、柱层析次数多、总收率低,难以放大生产,因此有必要开发高效的合成路线,保证获得更大量的目标产品用于临床研究。
随后,研究人员开发的第二代合成路线(图2)利用苯环上F取代基对硝基化反应的定位效应,在F原子的对位成功引入硝基,避免了Cu催化叠氮偶联反应的使用;在关噻嗪环时,使用羰基二咪唑(CDI)活化羟基,从而避免了Mitsunobu反应的使用。该路线将反应的总步骤数(含非线性步骤)从26步缩短到12步,并且有效避免了柱层析分离纯化操作。

为实现公斤级制备目标化合物,以推进临床研究的深入发展,研究人员对上述路线优化升级后设计出第三代合成工艺(图3)。
第三代合成工艺首先使用NBS对苯乙酮类化合物37的羰基进行邻位溴代,并通过亚硫酸氢钠水溶液处理的操作获得单溴代产物39。与第二代合成路线相比,该路线的亮点之一在于使用肟进行硝酮[3+2]环加成反应时,将反应温度从210 °C降至90°C,极大地改善了反应的可操作性,同时由于反应条件更加温和,反应的副产物也大大减少,最终收率由40%提高到75%。
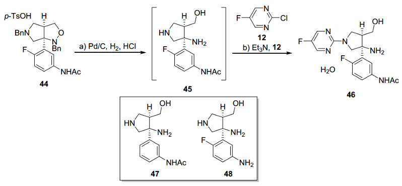
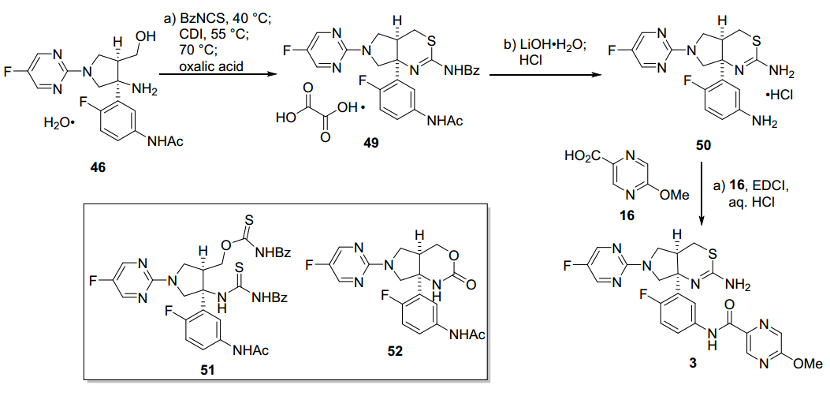
第三代合成工艺中,苯环上F取代基对位的胺基则是通过CuI催化Buchwald类型的交叉偶联反应引入的,这一操作可避免使用剧毒叠氮化物,进行强酸硝基化反应,具有明显的优势。Pd/C氢化脱苄基时,会有副产物47和48生成,通过优化操作工艺可将氢化反应条件变为酸性,从而避免生成脱F的副产物47,而副产物48则可通过重结晶除去。在进行噻嗪环关环时精确控制BzNCS的用量,可避免因用量过多或过少而产生副产物。随后使用LiOH将苯甲酰基和乙酰基一锅法解离得到化合物50,再进行酰化反应,最终实现高效大规模制备目标产物LY3202626。



值得一提的是,在如何得到光学纯产品的问题上,与前两代合成路线相比,第三代合成路线进展显著。第一代路线使用了昂贵的手性超临界流体色谱拆分法;第二代路线尝试手性羟胺进行环加成,但手性诱导效果不佳且后续进行N-O键断裂时存在更多问题,最终采用二对甲基苯甲酰酒石酸(L-DPTTA)进行包结拆分的方法,以38%收率、98%ee获得产物。而在第三代路线则使用更为廉价的D-扁桃酸对关环产物42进行拆分,能够以40%的收率、99.5%的ee值得到光学纯化合物,在几条不同路线中效率最高、成本最低。
LY3202626高效大规模制备的成功实现,为后续临床试验的顺利开展铺平道路,也为AD药物研发带来新的曙光。优化后的合成路线不仅减少了反应步骤,降低研发成本,同时也提高了反应安全性及目标产物收率及纯度,完美阐释了备受全球推崇的“绿色化学”理念,也体现了凯莱英对“更绿色、更安全、更可靠”工艺开发的卓越追求。
凯莱英作为一家全球领先的服务于新药研发和生产的CDMO一站式综合服务商,以解决病患所需为己任,依托持续的技术创新,为国内外大中型制药企业、生物技术公司提供高效和高质量的研发与生产服务。长期以来,公司与辉瑞、默沙东、BMS、艾伯维、礼来等全球制药巨头保持深度合作,并加速拓展与国内创新型制药企业的合作关系,助推全球创新药的临床研究与商业化应用。未来,凯莱英将继续与各大药企携手合作,以创新为核心驱动力,努力为全球患者带来更多健康福音。
会员动态
InxMed应世生物
2026-05-08
50
会员动态
维健医药
2026-04-27
439
会员动态
中国医药创新促进会
2026-04-27
422
热门资讯