EN
产业资讯 政策法规 研发追踪 医改专题
2023年FDA批准上市的新分子实体药物汇总及简介
产业资讯 药事纵横 2024-01-03 6376

创新药物通常意味着为患者提供新的治疗选择,为公众带来医疗保健方面的进步。美国食品药品监督管理局(FDA)的药物评价和研究中心(CDER) 会根据药物申请中所需的必要研究设计要素和其他因素对申报药物进行全面综合的评估。截止至2023年12月31日,FDA在2023年共批准了55款新药,包括37种新分子实体和18种生物制品。以下是CDER在2023年批准的新分子实体药品汇总及简介。本文章不包含新治疗生物制品、疫苗、过敏性产品、血液和血液制品、血浆衍生物、细胞和基因治疗产品,或生物制品评估与研究中心在2023年批准的其他产品。

Brenzavvy

2023年1月20日,Theracos Bio制药公司宣布,美国食品药品监督管理局(FDA)批准Brenzavvy用于辅助饮食和运动,以改善成人 2 型糖尿病患者的血糖控制,其药物有效成分为bexagliflozin,bexagliflozin是一种钠-葡萄糖协同转运蛋白2(SGLT2)抑制剂,该产品不能用于1型糖尿病患者或糖尿病酮症酸中毒的治疗,以及对bexagliflozin过敏的患者,不适用于终末期肾病患者或正在接受透析的患者的2型糖尿病治疗。

Jaypirca

2023年1月27日,礼来宣布,FDA加速批准其新一代BTK抑制剂Jaypirca上市,适用于治疗接受过至少两线全身治疗(包括 BTK 抑制剂)后复发或难治的套细胞淋巴瘤(MCL)成人患者。该产品的有效成分为pirtobrutinib,pirtobrutinib是FDA批准的首个且唯一一款非共价(可逆)BTK抑制剂,也是全球首款。

Orserdu

2023年1月27日,FDA批准Menarini子公司Stemline Therapeutics的Elacestrant获得FDA加速批准,商品名为Orserdu,用于既往接受过至少一线内分泌治疗后疾病进展的ER+、HER2-、ESR1突变的绝经后女性或成年男性晚期或转移性乳腺癌患者。Elacestrant是一款选择性雌激素受体降解剂(selective estrogen receptor modulator, SERD),可剂量依赖性地降解雌激素受体α,抑制雌二醇依赖的ER导向基因转录和肿瘤生长,这也是FDA批准的首款口服SERD。

Jesduvroq

2023年2月1日,葛兰素史克宣布,FDA批准其缺氧诱导因子脯氨酰羟化酶抑制剂(HIF-PHI)Jesduvroq上市,该产品的有效成分为daprodustat,适用于治疗已接受透析至少四个月的成人慢性肾病引起的贫血吗,Jesduvroq不适用于未进行透析的患者。Jesduvroq成为美国第一种上市的口服治疗慢性肾病引起的贫血药物。

Filspari

2023年2月17日,Travere Therapeutics宣布,FDA加速批准其药物Filspari其有效成分为sparsentan,是一种内皮素和血管紧张素 II 受体拮抗剂。这是FDA批准的第二款成人IgA肾病治疗药物。

Skyclarys

2023年2月28日,Reata Pharmaceuticals宣布,FDA批准Nrf2激动剂Skyclarys的新药申请,用于治疗成人和16岁及以上青少年弗里德里希共济失调(Friedreich共济失调),Skyclarys是第一种也是唯一一种适用于弗里德里希共济失调患者的药物。该药物的有效成分为omaveloxolone,已获得美国FDA的孤儿药、快速通道和罕见儿科疾病称号。

Zavzpret

2023年3月9日,辉瑞(Pfizer)宣布,FDA批准其药品Zavzpret上市。用于治疗成人患者急性偏头痛,该药物的有效成分为Zavegepant Hydrochloride,Zavegepant是第三代高亲和力、高选择性的小分子CGRP受体拮抗剂,通过可逆性地阻断CGRP受体,从而抑制CGRP神经肽的生物活性,可以实现缓解与预防偏头痛发作。

Daybue

2023年3月10日,Acadia公司宣布,FDA批准了Daybue用于治疗两岁以上人群的Rett综合征,Daybue是类胰岛素生长因子I(IGF-1)的氨基末端三肽的一种新型合成类似物,旨在通过潜在减少神经炎症和支持突触功能来治疗Rett综合征的核心症状,其有效成分为trofinetide。Daybue成为了第一个,目前也是唯一一个被批准用于治疗Rett综合征的药物。

Rezzayo

2023年3月22日,Cidara Therapeutics公司宣布,FDA批准Rezzayo上市,该药物的有效成分为Rezafungin Acetate,用于治疗成人念珠菌血症和侵袭性念珠菌病。该药是一种新型棘白菌素,通过抑制β-1, 3-葡萄糖合成酶从而扰乱真菌细胞壁的完整性来发挥作用。这是十多年来第一个批准用于侵袭性念珠菌感染的疗法。

Joenja

2023年3月24日,Pharming医药集团宣布, FDA首次批准Joenja上市,该药物的有效成分为Leniolisib Phosphate,用于治疗12岁及以上的成人和儿童PI3Kδ过度活化综合征(APDS)。Joenja是一款选择性靶向磷脂酰肌醇3-激酶δ(PI3Kδ)的口服抑制剂,是FDA批准的首款针对APDS的疗法。

Qalsody

2023年4月25日,Biogen公司宣布,FDA批准Qalsody上市,该药物的有效成分为tofersen,用于治疗 SOD1 基因突变的成人肌萎缩性脊髓侧索硬化症(ALS,渐冻症),这是ALS被发现200余年来,全球上市的第四款治疗ALS的药物,也是唯一一款基于生物标志物获得FDA加速批准、治疗基因突变相关ALS的疗法。

Veozah

2023年5月12日,Astellas公司宣布,FDA批准Veozah上市,该药物的有效成分为Fezolinetant,用于治疗绝经导致的中重度血管舒缩症(VMS),Fezolinetant是一款NK3受体拮抗剂,通过拮抗NK3受体,阻断神经激肽B(NKB)与kisspeptin/神经激肽B/强啡肽(KNDy)神经元的结合,调节体温调节中心的神经元活动,最终恢复平衡,缓解VMS。

Miebo

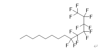
2023年5月18日,Bausch+Lomb Corp.和Novaliq GmbH宣布,FDA批准Miebo上市,该药物的有效成分为perfluorhexyloctane,用于治疗干眼症的体征和症状。Miebo是一种氟化烷烃,是一种无水的、单组分的、不含防腐剂的滴眼液,该眼用溶液是FDA批准的首个也是唯一一个直接针对泪液蒸发的干眼症治疗方法。

Xacduro

2023年5月23日,Innoviva公司宣布,FDA批准Xacduro上市,该药物的有效成分为Sulbactam和Durlobactam,用于18岁或以上患有由鲍曼醋酸钙不动杆菌敏感菌株引起的医院获得性细菌性肺炎和呼吸机相关性细菌性肺炎的患者。此联合用药方案中,Sulbactam是一种结构上与青霉素相关的药物,它负责杀死鲍曼不动杆菌,而Durlobactam则保护Sulbactam不被鲍曼不动杆菌产生的酶降解。

Posluma

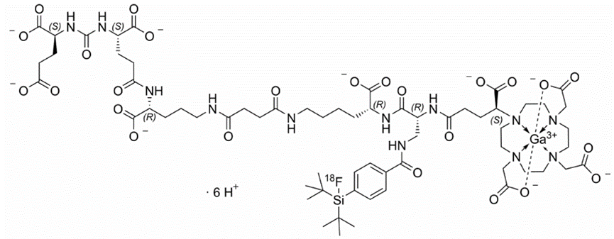
2023年5月25日,Blue Earth Diagnostics宣布,FDA批准Posluma上市,该药物的有效成分为Flotufolastat F-18 Gallium,用于放射性正电子发射断层扫描(PET)检测前列腺特异性膜抗原(PSMA)阳性病变,适用于疑似有转移性前列腺癌的男性患者,其为接受初始确定性治疗的候选患者,或者因血清前列腺特异性抗原(PSA)水平升高而有疑似复发的患者。

Paxlovid

2023年5月25日,辉瑞(Pfizer)宣布,FDA批准Paxlovid上市,该药物有效成分为Nirmatrelvir和Ritonavir,用于治疗成人患者的轻至中度 COVID-19 感染者,Paxlovid 是 FDA 批准的第四种用于治疗成人 COVID-19 的药物,也是唯一一款口服抗病毒药。

Inpefa

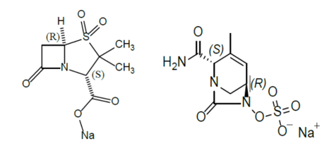
2023年5月26日,Lexicon制药公司宣布,FDA批准Inpefa上市,该药物有效成分为sotagliflozin,Inpefa是一种钠-葡萄糖共转运体 2 (SGLT2) 抑制剂,用于降低患有心力衰竭或慢性肾病、2型糖尿病和其他心血管危险因素的成年人的心血管死亡、紧急心力衰竭就诊和因心力衰竭住院的风险。

Litfulo

2023年6月23日,辉瑞(Pfizer)宣布,FDA批准Litfulo上市,该药物有效成分为Ritlecitinib Tosylate,用于12岁及以上的重度斑秃患者。Litfulo是一种激酶抑制剂,抑制Janus激酶3 (JAK3)和肝细胞癌(TEC)激酶家族中表达的酪氨酸激酶。

Vanflyta

2023年7月20日,Daiichi Sankyo公司宣布,FDA批准Vanflyta上市,该药物有效成分为Quizartinib Dihydrochloride,用于治疗FLT3-ITD突变的新诊断急性髓细胞白血病(AML)成人患者。Quizartinib是首个获得FDA批准专门用于治疗FLT3-ITD阳性AML的FLT3抑制剂,并涵盖新诊断AML的三个治疗阶段——未移植患者的诱导、巩固和维持治疗。

Xdemvy

2023年7月24日,Tarsus公司宣布,FDA批准Xdemvy,该药物有效成分为Lotilaner,用于治疗蠕形螨睑缘炎。Lotilaner是一种针对螨虫具有选择性的γ-氨基丁酸(GABA)门控氯离子通道抑制剂。抑制这些GABA氯化物通道会导致目标生物体产生麻痹作用,实现其死亡。该药物直接针对蠕形螨,即蠕形螨睑缘炎的根源。这标志着FDA 批准的第一个也是唯一一个专门针对蠕形螨的根治疗法。

Izervay

2023年8月4日,Astellas Pharma宣布,FDA批准其子公司Iveric Bio研发的Izervay上市,该药物有效成分为Avacincaptad Pegol Sodium,用作治疗黄斑病变(AMD)引发的地图样萎缩症(GA)。Izervay是一款全新C5补体蛋白抑制剂,含有avacincaptad pegol药物,该药通过对C5的定点攻击减弱补体系统活性,从而有可能放缓地图萎缩的发展。

Sohonos

2023年8月16日,Ipsen宣布FDA批准Sohonos上市,该药物有效成分为Palovarotene,用于在进行性肌肉骨化症(FOP)患者中降低新骨化组织的产生。Palovarotene是一种口服的选择性视黄酸受体γ(RARγ)激动剂,介导视黄素信号传导途径中的受体、生长因子和蛋白质之间的相互作用,以减少新的异常骨骼的形成。Sohonos是FDA批准首个治疗FOP的药物。

Aphexda

2023年9月8日,BioLineRx公司宣布,FDA批准Aphexda上市,该药物有效成分为Motixafortide Acetate,Aphexda是一种造血干细胞动员剂,适用于与filgrastim(G-CSF)联合使用,动员多发性骨髓瘤患者的造血干细胞到外周血中,以便收集和随后进行自体移植。Aphexda是一款创新CXCR4抑制剂,通过皮下注射给药。Aphexda是十年来首个在多发性骨髓瘤干细胞动员方面获得FDA批准的创新药物。

Ojjaara

2023年9月15日,GSK宣布,FDA批准Ojjaara上市,该药物有效成分为Momelotinib Dihydrochloride,适用于治疗中度或高风险骨髓纤维化,包括原发性骨髓纤维化或继发性骨髓纤维化(真性红细胞增多症和原发性血小板增多症)成人贫血患者。Ojjaara是一款具有差异化作用机制的靶向JAK1、JAK2与ALK2的新药, Ojjaara是首个也是唯一适用于骨髓纤维化合并贫血患者的治疗方法。

Exxua

2023年9月22日,Fabre-Kramer Pharmaceuticals宣布,FDA批准Exxua上市,该药物有效成分为Gepirone Hydrochloride,适用于治疗成人抑郁症(MDD)。Exxua是FDA批准的首个用于治疗MDD的口服选择性5-HT1A受体激 动剂。

Rivfloza

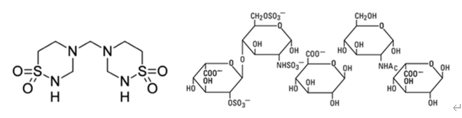
2023年9月29日,NovoNordisk宣布,FDA批准其RNAi疗法Rivfloza注射液上市,该药物有效成分为Nedosiran Sodium,适用于降低9岁及以上患有原发性高草酸尿症1型且肾功能相对较好的患者的尿草酸盐水平,Rivfloza是诺和诺德所开发的首款获批RNAi疗法。Rivfloza通过与表达肝乳酸脱氢酶(LDH)的mRNA结合,抑制该蛋白表达,显著降低草酸过度生成。

Velsipity

2023年10月12日,辉瑞(Pfizer)宣布,FDA批准 Velsipity上市,该药物有效成分为Etrasimod Arginine,Velsipity是一种1-磷酸鞘氨醇受体调节剂,可部分且可逆地阻断淋巴细胞从淋巴器官流出的能力,从而减少外周血中淋巴细胞的数量,适用于治疗成人中度至重度活动性溃疡性结肠炎。

Zilbrysq

2023年10月17日,UCB公司宣布,FDA批准Zilbrysq上市,该药物有效成分为Zilucoplan Sodium,用于治疗抗乙酰胆碱受体(AChR)抗体阳性的全身型重症肌无力(gMG)成年患者。作为补体C5抑制剂,Zilbrysq通过其靶向作用机制抑制补体介导的神经肌肉接头损伤。Zilbrysq是首个获批用于治疗该类患者的每日一次经皮下给药的新型大环肽类C5补体抑制剂。

Agamree

2023年10月26日,Santhera Pharmaceuticals与ReveraGen BioPharma公司联合宣布FDA批准Agamree上市,该药物有效成分为Vamorolone,Agamree是一种皮质类固醇,通过糖皮质激素受体发挥抗炎和免疫抑制作用,适用于治疗2岁及以上患者的杜氏肌营养不良症(DMD)。

Fruzaqla

2023年11月8日,和黄医药和Takeda共同宣布,FDA批准Fruzaqla的上市申请,该药物有效成分为fruquintinib,用于治疗既往曾接受过氟尿嘧啶类、奥沙利铂和伊立替康为基础的化疗、抗血管内皮生长因子("VEGF")治疗,以及抗表皮生长因子受体(EGFR)治疗的成人转移性结直肠癌患者。

Defencath

2023年11月15日,CorMedix公司宣布,FDA批准Defencath上市,该药物有效成分为Heparin Sodium和Taurolidine,适用于降低通过中心静脉导管(CVC)接受长期血液透析的肾功能衰竭成年患者有限人群中导管相关血液感染(CRBSI)的发生率,Heparin是一种一种抗凝剂溶液,通常在不使用导管时用于导管,以防止潜在危险的血栓形成。Taurolidine是CorMedix公司研发的一种噻二嗪类抗菌剂,可作为广谱抗菌剂对抗多种细菌。

Augtyro

2023年11月15日,BRISTOL宣布,FDA批准Augtyro上市,该药物有效成分为Repotrectinib,用于治疗ROS1阳性的局部晚期或转移性非小细胞肺癌(NSCLC)成人患者。Repotrectinib是首款全新一代的ROS1,pan-TRK和ALK抑制剂,具有抗癌效力更强、多靶点广谱抗癌、克服耐药潜力等优势。

Truqap

2023年11月16日,Astrazeneca宣布,FDA批准Truqap上市,该药物有效成分为Capivasertib,Truqap与Faslodex联合用药,用于治疗激素受体(HR)阳性、人类表皮生长因子受体2(HER2)阴性局部晚期或转移性乳腺癌成年患者。Truqap是一种首创AKT抑制剂、口服选择性三磷酸腺苷(ATP)竞争性抑制剂,可抑制丝氨酸/苏氨酸激酶AKT(AKT1/2/3)的所有3种亚型。

Ogsiveo

2023年11月27日, SpringWorks Therapeutics宣布,FDA批准Ogsiveo上市,该药物有效成分为Nirogacestat Hydrobromide,Ogsiveo一种口服γ分泌酶抑制剂,用于治疗需要全身治疗的进展性硬纤维瘤成年患者。该产品为首个获批上市的硬纤维瘤疗法。FDA 此前授予Nirogacestat用于治疗硬纤维瘤的突破性疗法、快速通道和孤儿药资格。

Fabhalta

2023年12月5日,Novartis宣布,FDA批准Fabhalta上市,该药物有效成分为Iptacopan Hydrochloride,适用于治疗阵发性夜间血红蛋白尿症(PNH)成人患者。Fabhalta是一种补体B因子抑制剂,可在免疫系统的替代补体途径中发挥近端作用,全面控制血管内外的红细胞 (RBC) 破坏。

Filsuvez

2023年12月18日,AMRYT公司宣布,FDA批准Filsuvez上市,该药物有效成分为Birch Triterpenes,适用于治疗6个月及以上患者的交界性或萎缩性表皮松解症。

Wainua

2023年12月21日,阿斯利康和Ionis制药联合研发的Wainua已在美国获得FDA的批准,用于治疗成人遗传性转甲状腺素蛋白介导的淀粉样变性的多发性神经病, Wainua是一种反义寡核苷酸-GalNAc缀合物,通过与TTR mRNA结合引起突变型和野生型TTR mRNA降解,从而减少血清TTR蛋白和组织中TTR蛋白沉积。其旨在通过抑制错误折叠突变TTR蛋白的产生来减缓疾病的进展并改善患者的生活质量。

总结

2023年FDA批准的新药数量创近5年新高,创新机制药物占比更是创新高,小分子药物仍然是创新药的主力军,而CBER批准的基因疗法数量创下记录,创新不断涌现。

您可能感兴趣
AI药物研发2025年度盘点
AI药物研发2025年度盘点
产业资讯 会会药咖 2026-02-13 153