产业资讯
生物谷
2024-11-19
2828
提及「司美格鲁肽」,相信读者们对此并不陌生。不夸张地说,其“减肥神药”的名头早已传遍大街小巷。
司美格鲁肽最早是作为“一周打一次”降糖药而为人熟知,它是一款新型长效胰高糖素样肽-1(GLP-1)类似物,可以有效抑制胰高血糖素的释放,从而达到降低血糖的作用。因其体内半衰期在1周左右,实现每周给药一次,迅速取代了上一代降糖药。
当然,司美格鲁肽之所以能被称为“神药”,不只是因其在糖尿病领域大放光彩,还在减肥、降低癌症风险、缓解阿尔茨海默症和帕金森等神经退行性疾病、改善心衰患者预后等方面“开花结果”。
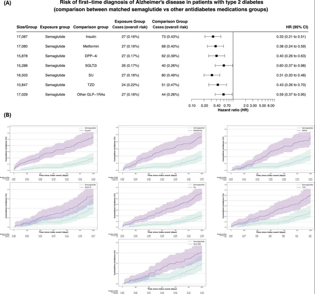
近日,来自美国凯斯西储大学医学院的研究团队使用了样本量达100万的真实世界数据的证据,为司美格鲁肽的“神药”身份添砖加瓦——与其他抗糖尿病的药物相比,司美格鲁肽使得2型糖尿病(T2DM)患者罹患阿尔茨海默症(AD)的风险显著降低了41%-67%,即具有预防AD的潜力。

图片https://doi.org/10.1002/alz.14313
2017年,美国食品药品监督管理局(FDA)批准司美格鲁肽可用于治疗T2DM,并于4年后批准其用于减肥。研究者观察到,既然T2DM和肥胖都是AD的重要的、可改变的风险因素,同时司美格鲁肽可能具有神经保护和抗炎作用,那么“神药”是否会降低高危患者罹患AD的风险呢?可惜的是,目前仍没有现实世界的证据。
为了填补这一空白,研究团队基于涵盖了1.16亿美国患者的全国电子健康记录(EHR)数据库进行了模拟目标试验,在经过严格的纳入排除之后,最终包含1,094,761名使用抗糖尿病药物的T2MD患者,他们既往未被诊断为AD。
在全部的T2MD患者中,有17,104名新使用了司美格鲁肽进行治疗,而剩下来的1,077,657名则使用了其他的抗糖尿病药物,包括人们熟知的胰岛素、二甲双胍,以及二肽基肽酶-Ⅳ抑制剂(DPP-4i)、钠-葡萄糖共转运体-2抑制剂(SGLT2i)、磺酰脲类(SUs)、噻唑烷二酮(TZD)和他的GLP-1RA(阿必鲁肽、杜拉鲁肽、艾塞那肽、利拉鲁肽和利司那肽)。这些患者会在基线时使用单一的药物,也就是不会同时使用多种。

实验流程
接着,研究者将司美格鲁肽与其他7类药物进行了一一比较后发现,“神药”不愧为“神药”,其预防AD的效果明显好于其他抗糖尿病药物。
具体来说,与胰岛素相比,使用司美格鲁肽的T2MD患者在3年随访期间首次诊断为AD的风险显著降低了67%;而与其他GLP-1RA类药物相比,风险降低了41%。
3年累积发病率曲线也很能说明问题。与7种抗糖尿病药物相比,曲线之间的分水岭往往出现在30天之内,且差异持续增大,说明司美格鲁肽在延缓或预防AD发展方面具有潜在的持续益处。

不同药物之间的患病风险差异以及3年累积发病率曲线
进一步,研究者在不同的群组间进行了比较,比如:性别和肥胖情况。
与其他7类药物相比,司美格鲁肽与女性患者首次诊断出AD的风险降低47%-78%有关;在男性中同样观察到这样的趋势,但相关性略低于女性。
而当研究者以“是否肥胖”进行分类后发现,无论肥胖与否,司美格鲁肽仍拥有优于其他抗糖尿病药物的预防AD效果。

以性别分组,司美格鲁肽仍能显著降低AD发病风险
早在2022年,Alzheimer's & Dementia上便刊登过类似研究,研究团队从长期随访的大型数据库中收集到超12万患者数据,发现接受GLP-1受体激动剂治疗组罹患痴呆症的风险比对照组低53%。从机制上看,给予GLP-1受体激动剂能够改善记忆和学习能力,增加神经元数量,减少β淀粉样蛋白并防止tau蛋白累积,从而驱动AD病理的级联事件发生改变。
而在这项研究中,研究者利用了现实世界的T2DM患者开展了大型研究,用真实数据证明了司美格鲁肽具有优于其他抗糖尿病药物的延缓或预防AD发展的作用,再一次巩固了“神药”的宝座。
值得一提的是,这项研究是基于T2DM患者的,而非健康人群。虽说司美格鲁肽很“神”,但小编也想提醒一下“蠢蠢欲动”的读者们,“是药三分毒”的俗语并非空穴来风,司美格鲁肽同样具有不完美之处。
FDA通报的最常见胃肠道不良反应包括:恶心、呕吐、腹泻、腹痛、消化不良、食欲下降等等,更有甚者可能会出现肠梗阻、胃轻瘫等更为严重的疾病。
此前,JAMA两次报道了司美格鲁肽对胃肠道的副作用——包括司美格鲁肽在内的GLP-1激动剂存在一定的不良反应,与胰腺炎、胃轻瘫以及肠梗阻等胃肠道疾病的风险增加有关;具体数据显示,使用司美格鲁肽治疗组出现胃肠道副作用的概率高达84.1%。
更令人担忧的是,司美格鲁肽可能会导致“不性福”!来自约翰斯·霍普金斯医院的研究团队发现,非糖尿病的肥胖男性服用司美格鲁肽之后,出现勃起功能障碍和睾酮素缺乏症的几率明显升高。

https://doi.org/10.1038/s41443-024-00895-6
该研究结果显示,在使用司美格鲁肽的非糖尿病肥胖男性中,有1.47%的人被诊断出患有勃起功能障碍(ED)或被开具5型磷酸二酯酶抑制剂(PDE5i,是一种抑制磷酸二酯酶活性的药物,可用于治疗男性勃起功能障碍等疾病),而匹配对照组中该比例仅为0.32%;前者的风险约是后者的4.5倍。
与之类似,睾酮素缺乏症也出现了相近的情况。具体来说,使用司美格鲁肽组的参与者有1.53%被诊断为睾酮素缺乏症,而对照组仅有0.80%;也就说是,接受司美格鲁肽的治疗使得罹患睾酮素缺乏症的风险显著增加了90%。
也就是说,与匹配的对照组相比,非糖尿病的肥胖男性使用司美格鲁肽后,被诊断为ED和睾酮素缺乏症的风险显著增加,分别提高了350%和90%。

司美格鲁肽的使用对疾病的影响
不得不说,虽然司美格鲁肽用于长期体重管理已于今年6月在中国获批上市,且已有诸多试验证实了其减重以及其他健康效果,但是否需要用药?用药的注意事项?以及使用之后可能存在的副作用是什么?这些问题都需要进一步与医生探讨,千万不要“自行发挥”。
“神药”虽“神”,但也是在限制范围内的“神”。
参考资料:
[1] Wang W, Wang Q, Qi X, Gurney M, Perry G, Volkow ND, Davis PB, Kaelber DC, Xu R. Associations of semaglutide with first-time diagnosis of Alzheimer's disease in patients with type 2 diabetes: Target trial emulation using nationwide real-world data in the US. Alzheimers Dement. 2024 Oct 24. doi: 10.1002/alz.14313. Epub ahead of print. PMID: 39445596.
[2]Nørgaard CH, Friedrich S, Hansen CT, Gerds T, Ballard C, Møller DV, Knudsen LB, Kvist K, Zinman B, Holm E, Torp-Pedersen C, Mørch LS. Treatment with glucagon-like peptide-1 receptor agonists and incidence of dementia: Data from pooled double-blind randomized controlled trials and nationwide disease and prescription registers. Alzheimers Dement (N Y). 2022 Feb 23;8(1):e12268. doi: 10.1002/trc2.12268. PMID: 35229024; PMCID: PMC8864443.
[3]Sodhi M, Rezaeianzadeh R, Kezouh A, Etminan M. Risk of Gastrointestinal Adverse Events Associated With Glucagon-Like Peptide-1 Receptor Agonists for Weight Loss. JAMA. Published online October 05, 2023. doi:10.1001/jama.2023.19574
[4]Able, C., Liao, B., Saffati, G. et al. Prescribing semaglutide for weight loss in non-diabetic, obese patients is associated with an increased risk of erectile dysfunction: a TriNetX database study. Int J Impot Res (2024). https://doi.org/10.1038/s41443-024-00895-6
产业资讯
国际肿瘤资讯
2026-04-02
52
产业资讯
识林
2026-04-02
59
产业资讯
医药地理
2026-04-02
54