EN
产业资讯 政策法规 研发追踪 医改专题
从安进到Mirati:KRAS抑制剂技术进展全盘点
产业资讯 药渡 2023-06-30 7152

01 KRAS蛋白功能及与疾病关系

KRAS蛋白是一种小的膜结合GTP酶(GTP水解酶),可作为多种细胞信号传导功能的开关(图1)。核苷酸水解和交换之间的平衡决定了细胞内KRAS的水平。与鸟嘌呤核苷二磷酸(GDP)绑定,KRAS处于“关闭”状态。在GDP与GTP交换时,通常响应生长因子并由鸟嘌呤-核苷酸交换因子(GEF)如SOS1/SOS2促进,KRAS循环到其激活的“ON”状态。以这种形式,KRAS激活效应途径,包括MAPK和PI3K途径,以促进细胞增殖和存活。

当GTP水解为GDP时,KRAS恢复到关闭状态,这一过程由GTP酶激活蛋白(GAP)催化。在其致癌形式中,KRAS主要保持活性ON状态,由于其内在的GTP酶功能受损影响GTP水解[1]。

图1. KRAS信号通路

KRAS的突变亚型主要分为G12C、G12D、G12V、G13D、G12R和G12A突变或KRAS野生型扩增。G12或G13的基因改变破坏精氨酸残基水解过渡态的稳定性。

KRAS突变在多种癌症中很常见,占比较多,例如美国约45%的结直肠癌(CRC)和中国约49%的结直肠癌;美国约90%的胰腺导管腺癌(PDAC),中国约89%;美国约35%的肺腺癌(LUAD,非小细胞肺癌的一种亚型),中国约为13%(图2)。

KRAS突变的分布在不同的癌症中有所不同,G12C突变出现在41%的LUAD中,而G12D和G12V是CRC和PDAC中最常见的两个突变等位基因,如图2所示。值得注意的是,其他KRAS突变如G12R仅出现在PDAC中。事实上,尽管肿瘤类型是由KRAS突变驱动的,但其密码子和突变频率因组织类型而异。

图2. 多种人类癌症中KRAS突变的类型和比例

因为KRAS突变在很多疾病中都有出现,市场价值巨大,所以科研机构及药企过去几十年对于KRAS抑制剂的开发前仆后继,图3可见从1994年以来临床上对于KRAS开发进行的试验。

图3. 临床上KRAS抑制剂开发的试验数量

在过去40年里,KRAS由于结构特点和与GTP或GDP的结合非常强等原因被认为不可成药。直到2021年5月28日,第一个针对KRAS G12C的抑制剂Lumakras(Sotorasib,AM510)被美国FDA已加速批准上市,打破了KRAS突变无靶向药的僵局!

图4. Sotorasib知识图谱,来源:药渡数据

但是Sotorasib的关键次要终点总生存期却没有实现显著差异:10.6个月和11.3个月(HR,1.01 [95% CI:0.77, 1.33];P=0.53)。而且KRAS不仅有G12C突变,也有G12D、G12V突变等,临床需求远远没有被满足,市场前景和价值巨大。

所以,目前针对KRAS突变选择性抑制剂和泛抑制剂的研究很多,除了安进的Lumakras(Sotorasib,AM510)被批准之外,Mirati Therapeutics公司开发的KRAZATI(Adagrasib,MRTX849)是第二款被FDA批准上市的KRAS G12C抑制剂,它于2022年12月12日被美国FDA批准用于治疗转移性非小细胞肺癌患者。除此之外,据不完全统计,目前进入临床三期的有两款,临床二期的有9款,临床一期有17款,申请临床的有3款,临床前研究的有59款,药物发现阶段的有1600多种。

国内外企业对KRAS抑制剂的开发热情一直很高,国外的Revolution Medicines、Singh Biotechnology、Mirati Therapeutics、Wellspring Biosciences、Erasca、Array BioPharma、Eli Lilly等和国内企业加科思、百济神州、再鼎、益方、劲方、信达、思路迪、济民可信、璎黎、泽璟、贝达、亚盛、艾力斯等均在该领域进行布局。

本文主要介绍两家企业——安进和Mirati在开发KRAS抑制剂方面的研究进展。

02 安进的KRAS抑制剂研发

安进有一款被FDA批准的KRAS G12C的抑制剂Sotorasib,用于治疗既往至少接受过一次系统治疗的携带KRAS G12C突变局部晚期或转移性非小细胞肺癌(NSCLC)患者。除此之外,临床上也在开展Sotorasib对其它疾病的治疗效果研究,图5为Sotorasib的全球研发进展。

图5. Sotorasib全球研发状态

Sotorasib不可逆锁定KRAS处于不活跃的GDP绑定状态,如图6所示。与ARS-1620相比,ARS-1620是KRAS G12C的第一种直接抑制剂,其占据较小的口袋且效力较低,AMG510通过His95凹槽增强了其与KRAS的结合(G12C),效力提高约10倍。

图6. KRAS抑制剂结构与结合模式

除了Sotorasib之外,安进也开发了很多不同种类的KRAS G12C抑制剂,同时也在开发KRAS G12D抑制剂。表1整理了安进公司报道的关于KRAS抑制剂的专利,由此可看出安进主要开发KRAS G12C共价抑制剂,主要改变Sotorasib的骨架和取代基结构,如把Sotorasib的吡啶并嘧啶酮骨架改成异噻唑并吡啶、2-甲基吡啶并二氮杂膦-2-氧化物、萘啶酮、吡啶并噻嘧啶 2、2-二氧化物等新型结构骨架,并且改变取代基位置和类型,但是对于KRAS G12C抑制剂都保留了丙烯酮结构。近期安进也在开发KRAS G12D抑制剂,骨架结构与MRTX1133相似,但是去除丙烯酰基共价结构。

表1. 安进报道的关于KRAS抑制剂的专利

同时,安进也发表了一些KRAS抑制剂的联合治疗策略(WO2020106647 A2,WO2021076655 A1,WO2013142182 A2,WO2022261025 A1,WO2015070224 A2),联合治疗不仅可以提高药效,也可以克服KRAS抑制剂耐药性问题。

03 Mirati公司发表的专利

除了安进之外,Mirati也是目前研发KRAS抑制剂中一家很有竞争力的公司。Mirati是一家处于临床阶段的生物技术公司,正在开发一系列新型疗法,直接针对癌症的遗传和免疫驱动因素,以帮助改变癌症患者的生活。

Mirati不仅研发了被FDA批准上市的KRAZATI(Adagrasib,MRTX849),还发现了选择性靶向KRAS G12D的强效化合物MRTX1133,标志着KRAS另一更常见的突变位点G12D或将有药可用。

Mirati Therapeutics Inc开发的Adagrasib是第二款被FDA批准上市的KRAS G12C抑制剂,它于2022年12月12日被美国FDA批准用于治疗转移性非小细胞肺癌患者。Krazati推荐剂量为每天两次600mg,按照每瓶200mg剂量,每月需19750美元 。相比之下,Lumakras的成本略低,标价为每月17900美元。

Adagrasib选择性地靶向与GDP结合的KRAS中的突变半胱氨酸12,该半胱氨酸存在于KRAS G12C的switch II口袋中,从而将其锁定为非活性的GDP结合状态并抑制RAS/MAP激酶途径,下图为Adagrasib的全球研发进展。

图7. Adagrasib全球研发状态

MRTX1133被鉴定为有效、有选择性、具有皮摩尔结合敏感性的KRAS G12D的非共价抑制剂。KRAS的Asp12(G12D)具有比半胱氨酸的巯基弱的亲核基的羧基。这种差异导致化合物,如MRTX849,对KRAS G12C有重要影响,但不作用于KRAS G12D。

MRTX1133用哌嗪代替MRTX849的亲电受体丙烯酰胺结构与Asp12的羧酸形成盐桥。MRTX1133结合到switch II口袋和抑制KRAS下游途径的激活所必需的蛋白质-蛋白质相互作用[2],下图为MRTX1133的全球研发进展。

图8. MRTX1133全球研发状态

表2整理了Mirati公司申请的KRAS抑制剂的专利,可以看出Mirati不仅开发针对KRAS G12C突变的抑制剂,也开发针对KRAS G12D突变的抑制剂以及pan-KRAS抑制剂。从表2可以看出他们开发的KRAS抑制剂,主要围绕四氢吡啶并嘧啶或者吡啶并嘧啶骨架。

表2. Mirati公司申请的KRAS抑制剂的专利

除此之外,Mirati公司也申请了KRAS抑制剂与其它抑制剂联用的专利,如KRAS和MEK抑制剂(WO2022165142)、KRAS和SOS1抑制剂(WO2022251193)、KRAS和CDK4/6抑制剂(WO2020055758)、KRAS和mTOR抑制剂(WO2020055761)、KRAS和SHP-2抑制剂(WO2020118066)、KRAS和Raf抑制剂(WO2020055760)、KRAS和Src抑制剂(WO2020055755)、KRAS和pan ErbB抑制剂(WO2020055756)等。

04 KRAS的PROTACs

目前关于KRAS靶向药物的研究越来越多,已经取得了很大进展,有大量抑制剂、联合方法和新的替代靶向方法(如PROTACs)正在临床前或临床研究中。

近年来,随着靶向蛋白降解(TPD)技术的发展,针对KRAS设计PROTAC的研发也陆续被报道(KRAS G12C/G12D-PROTAC)。2019年,Arvinas报道基于KRAS G12C抑制剂ARS-1620和VHL配体设计合成一系列KRAS的PROTACs,如化合物1(图9)。在NCI-H2030细胞中,化合物1在1mM浓度时降解超过50%的KRAS蛋白。

2020年,Gray等人报道基于ARS-1620与CRBN配体的KRAS的PROTACs,如化合物2(图9),但令人遗憾的是,化合物2仅诱导降解人工GFP-KRAS G12C融合蛋白,但不降解内源性KARS G12C,这可能是由于降解剂无法有效地多泛素化内源性KRAS G12C。

2020 年,Crews小组还报道了基于KRAS共价抑制剂MRTX849和VHL配体设计合成的“First-in-class”内源性KRAS G12C降解剂。其中,降解剂3(LC-2,图9)通过筛选被确定为最有效的KRAS G12C降解剂,在NCI-H2030细胞中可诱导快速和持续的内源性KRAS G12C降解(Dmax为80%,DC50为0.59μM)。

最近,Chen等人基于KRas G12C-IN-3和泊马度胺设计合成KRAS G12C降解剂,如降解剂4(KP-14,图9),在NCI-H358细胞中表现出最佳的KRAS G12C降解活性(DC50为1.25 μM)。

此外,基于LC-2的结构,Lu等人替换其乙烯基部分以获得一系列KRAS G12C降解剂。他们发现降解剂5(YF135,图9)在H358和H23细胞中具有最好的降解活性(DC50分别为3.61μM和4.53μM)[3]。

近期,Zhang等人报道了基于AMG-510和VHL配体设计合成的PROTACs,如化合物6(图9),可以降解KRAS蛋白[4]。

图9. KRAS的PROTACs

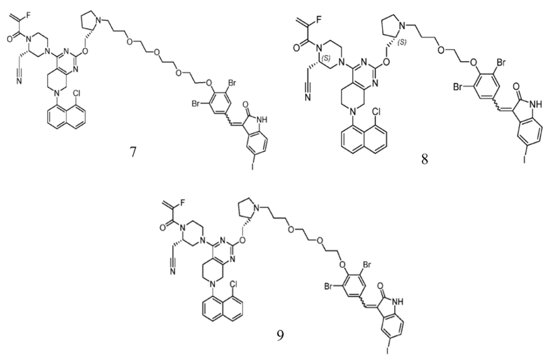
杭州济景医药2022年披露了一篇专利(WO2022140246A1),发现通过使用不同的连接链(长度或者类型不同)连接KRAS抑制剂和自噬适配器LC3B配体合成设计的双功能分子,该分子能通过自噬溶酶体途径降解KRAS蛋白,如化合物7-9(图10)。表3显示这些化合物在不同浓度时降解KRAS蛋白的能力,由表3可知化合物8降解能力最强。

图10. 化合物7-9结构

表3. 化合物7-9降解KRAS G12C的能力

2022年,珃诺生物(Ranok Therapeutics)揭露了一篇利用分子伴侣HSP90配体设计合成的Chaperone-mediated Protein Degraders(CHAMPs)来降解KRAS G12C蛋白,如化合物10(图11,WO2022078414A1)。化合物10由三部分组成,一部分结合KRAS G12C蛋白,一部分结合HSP90蛋白,这两个部分由中间连接链连接。在LU65A细胞中明显降解KRAS G12C蛋白水平(DC50 < 100 nM)。

分子伴侣(Chaperone)又称侣伴蛋白,是一类协助细胞内分子组装和协助蛋白质折叠的蛋白质。分子伴侣包含许多不同的家族,如HSP60家族、HSP70家族、HSP90家族等,每个家族以不同的方式帮助蛋白质折叠。

除了参与蛋白质折叠,在某些情况下,分子伴侣还可以识别错误折叠的蛋白质,并引导它们通过泛素-蛋白酶体系统(UPS)降解。

图11. 化合物10的结构

除此之外,Arvinas、BioTheryX、百济神州与晶锐医药等公司也披露了KRAS-PROTACs相关信息。

05 小结

KRAS突变蛋白在很多疾病中被发现,是一个热门的肿瘤靶点,其市场潜力巨大。现在已经上市的两款KRAS抑制剂Sotorasib和Adagrasib都是针对G12C突变的抑制剂,Mirati报道了一个高效的KRAS G12D选择性抑制剂MRTX1133。目前关于KRAS G12D突变的实体瘤尚无标准靶向治疗方案,在胰腺癌领域,化疗及免疫治疗等方式也并未取得预期的疗效。对于KRAS G12D突变的实体瘤,尤其是恶性程度极高的胰腺癌,仍然有迫切的临床治疗需求未被满足。

一些报道中也提到,野生型KRAS抑制不太可能成为毒性障碍,甚至可能是有益的,所以现在也有很多企业在开发pan KRAS抑制剂。

自三十多年前在肺癌中发现KRAS突变以来,KRAS靶向药物的研发已经取得了很大进展,目前有大量抑制剂、联合方法和新的替代靶向方法正在临床研究中。然而,关于KRAS G12C抑制剂的数据表明,这些药物远未达到治愈效果。至少部分原因在于单药治疗几乎总是产生耐药性。

目前,人们正试图通过垂直抑制KRAS通路的多个节点来克服耐药性机制。此外,治疗策略还包括抑制平行通路的组合策略,联合免疫治疗策略诱导持久的抗肿瘤记忆免疫反应。最后,人们也在不断开发新方法以及新的治疗策略来靶向KRAS,希望这些新的方法能够在KRAS突变恶性肿瘤患者群体中实现长期寻求的治愈目标。

参考资料:

1. Marco H Hofmann , Daniel Gerlach , Sandra Misale , Mark Petronczki , Norbert Kraut, Expanding the Reach of Precision Oncology by Drugging All KRAS Mutants, Cancer Discov, 2022 Apr 1;12(4):924-937.

2. Chunxiao Zhu , Xiaoqing Guan , Xinuo Zhang, Xin Luan, Zhengbo Song, Xiangdong Cheng, Weidong Zhang, Jiang-Jiang Qin, Targeting KRAS mutant cancers: from druggable therapy to drug resistance, Mol Cancer 2022 Aug 4;21(1):159.

3. Ming He, Chaoguo Cao, Zhihao Ni, Yongbo Liu, Peilu Song, Shuang Hao, Yuna He, Xiuyun Sun, Yu Rao, PROTACs: great opportunities for academia and industry (an update from 2020 to 2021), Signal Transduct Target Ther 2022 Jun 9;7(1):181.

4. Xiaoyi Zhang, Tong Zhao, Minghao Sun, Pei Li, Mengzhen Lai, Lingfeng Xie, Jiaying Chen, Jian Ding, Hua Xie, Jinpei Zhou, Huibin Zhang, Design, synthesis and biological evaluation of KRASG12C-PROTACs, Bioorg. Med. Chem. 78 (2023) 117153.